Portada
Asignatura
Grado en Administración y Dirección de Empresas (UCA)
Macroeconomía
Fecha de subida
23 ago 2016
Categoría
apuntes
Información
Los mejores apuntes de macro que puedas encontrar. Info sacada de transparencias y bibliografía recomendada.
Etiquetas
Apuntes - MACROECONOMÍA (Tomo 1).pdf
pdf
39 páginas
648
7
Exámenes - Examen-macro-sept-2019.docx
docx
139
0
Exámenes - preguntas macro.pdf
1 página
404
3
Apuntes - Tema-1-IS-LM-2.docx
57
1
Apuntes - MACROECONOMÍA (Tomo 2).pdf
30 páginas
320
4
Apuntes - PREGUNTAS DE EXAMEN MAS HABITUALES.doc
doc
60
Exámenes - EXAMEN MACROECONOMÍA SEPTIEMBRE 2015.pdf
2 páginas
299
Exámenes - TEST 3.odt
odt
32
Exámenes - EXAMEN MACROECONOMÍA FEBRERO 2015.pdf
244
Apuntes - https://www.dropbox.com/sh/2cspkln70yxa5x3/AAD7xNPvLrw9akGg1vTLfwZKa?dl=0
link
Exámenes - TEST 4.docx
25
Exámenes - EXAMEN MACROECONOMÍA JUNIO 2015.pdf
185
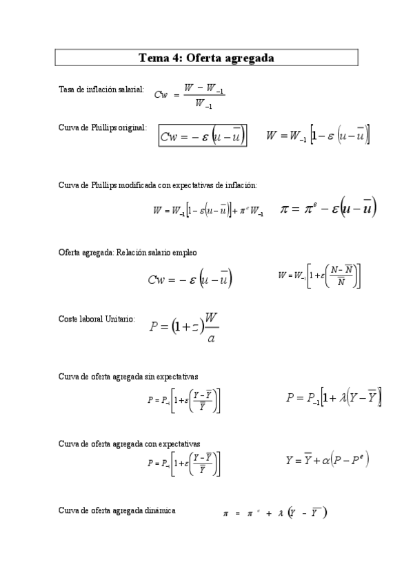
Apuntes - Tema-4-LA-OFERTA-AGREGADA-2.docx
26
Exámenes - https://www.dropbox.com/s/o71whl1hn61s996/IMG-20150205-WA0028.jpg?dl=0
Test - Cuestionario 1.docx
17
Test - Cuestionario temas 8-9,10 y 11.pdf
4 páginas
162
Apuntes - Tema-2-EQUILIBRIO-IS-LM-1.docx
24
Apuntes - Tema-5-OA-DA-2.docx
23
Exámenes - Examen macro 2018.docx
28
Apuntes - Temario-completo-macro.pdf
130 páginas
271
Información
Los mejores apuntes de macro que puedas encontrar. Info sacada de transparencias y bibliografía recomendada.