chevron_left
chevron_right
Todo
Apuntes
Ejercicios
Exámenes
Test
chevron_left
chevron_right

examenes

-

Exámenes Corregidos Macroeconomía

5 Examenes de Repaso Teórico con preguntas de desarrollo + Índice de contenidos

UC3getADEexamenB3.pdf
UC3getADEexamenB4.pdf
UC3getADEexamenB5.pdf
UC3getADEindiceB.pdf
UC3getADEexamenB1.pdf
UC3getADEexamenB2.pdf

FINAL SUMMARY MUY UTIL PARA EL FINAL DE MACRO

3 páginas

He publicado nuevos examenes de 2º Macroeconomía: Final-2024-Test-y-ejercicios.pdf

6 páginas

He publicado nuevos examenes de 2º Macroeconomía: Final-Enero-2024-Entero.pdf

5 páginas

He publicado nuevos examenes de 2º Macroeconomía: Final-Junio-2024.pdf

8 páginas

He publicado nuevos examenes de 2º Macroeconomía: Enero-2021.pdf

6 páginas

He publicado nuevos examenes de 2º Macroeconomía: Junio-2021.pdf

6 páginas

He publicado nuevos examenes de 2º Macroeconomía: Macroeconomia-I-2023-24.pdf

5 páginas

He publicado nuevos examenes de 2º Macroeconomía: Final-Junio-2021.pdf

5 páginas

He publicado nuevos apuntes de 2º Macroeconomía: Apuntes-todos-los-temas-MACRO.pdf

9 páginas

He publicado nuevos apuntes de 2º Macroeconomía: Tipo-test-Macro.pdf

11 páginas

Hechos con las diapositivas y el libro recomendado

16 páginas

apuntes

-

Apuntes todos los temas

He publicado nuevos apuntes de 2º Macroeconomía: Apuntes todos los temas

Tema-1.pdf
Tema-2.pdf
Tema-3.pdf
Tema-4.pdf
Tema-6.pdf
Tema-5.pdf

He publicado nuevos examenes de 2º Macroeconomía: Examen-Parcial2023.pdf

16 páginas

He publicado nuevos examenes de 2º Macroeconomía: test-examenes.pdf

9 páginas

examenes

-

Todos Los Finales DIsponibles

He publicado nuevos examenes de 2º Macroeconomía: Todos Los Finales DIsponibles

Final-Rasputin-21.pdf
Final-Rasputin-22.pdf
Final-Rasputin-23.pdf
Final-Rasputin-24.pdf
Final-Rasputin-25.pdf
Final-Rasputin-26.pdf

He publicado nuevos apuntes de 2º Macroeconomía: TEMARIO-COMPLETO.pdf

24 páginas

He publicado nuevos ejercicios de 2º Macroeconomía: TEMA-6.pdf

6 páginas

He publicado nuevos ejercicios de 2º Macroeconomía: TEMA-4.pdf

4 páginas

He publicado nuevos ejercicios de 2º Macroeconomía: TEMA-5.pdf

4 páginas

He publicado nuevos apuntes de 2º Macroeconomía: IntroLecture2024.ppt

Miniatura no disponible
powerpoint

He publicado nuevos apuntes de 2º Macroeconomía: Resumen-Completo.pdf

63 páginas

He publicado nuevos apuntes de 2º Macroeconomía: Apuntes-Macroeconomia.pdf

24 páginas

He publicado nuevos examenes de 2º Macroeconomía: examen-21-22solucionado.pdf

5 páginas

He publicado nuevos ejercicios de 2º Macroeconomía: Ejercicios-Macroeconomia.pdf

24 páginas

He publicado nuevos apuntes de 2º Macroeconomía: MACROECONOMICS-Unit-1-2.pdf

14 páginas

He publicado nuevos apuntes de 2º Macroeconomía: Formuario-final.pdf

pdf

He publicado nuevos apuntes de 2º Macroeconomía: TEMA-6.pdf

2 páginas

He publicado nuevos apuntes de 2º Macroeconomía: TEMA-5.pdf

6 páginas

He publicado nuevos apuntes de 2º Macroeconomía: Ch2-National-income.pdf

3 páginas

He publicado nuevos apuntes de 2º Macroeconomía: Ch3-Money-and-Inflation.pdf

3 páginas

He publicado nuevos apuntes de 2º Macroeconomía: Ch4-Labor-and-Unemployment.pdf

3 páginas

He publicado nuevos apuntes de 2º Macroeconomía: Ch1-production-function.pdf

3 páginas

He publicado nuevos apuntes de 2º Macroeconomía: Oa-da.pdf

4 páginas

He publicado nuevos apuntes de 2º Macroeconomía: Open-economy.pdf

3 páginas

He publicado nuevos apuntes de 2º Macroeconomía: Open-ec-Short-run.pdf

3 páginas

He publicado nuevos apuntes de 2º Macroeconomía: Ch7-Keynesian-cross-and-ISLM.pdf

5 páginas

He publicado nuevos apuntes de 2º Macroeconomía: Solow-model.pdf

6 páginas

He publicado nuevos apuntes de 2º Macroeconomía: Solow-model.pdf

5 páginas

He publicado nuevos apuntes de 2º Macroeconomía: TEMA-4.pdf

3 páginas

He publicado nuevos apuntes de 2º Macroeconomía: TEMA-3.pdf

3 páginas

He publicado nuevos ejercicios de 2º Macroeconomía: TAREA-3.pdf

2 páginas

He publicado nuevos apuntes de 2º Macroeconomía: TEMA-2.pdf

4 páginas
Anónimo

@Anónimo

He publicado nuevos apuntes de 2º Macroeconomía: Macroeconomics-5.pdf

15 páginas
Anónimo

@Anónimo

He publicado nuevos apuntes de 2º Macroeconomía: Macroeconomics-4.pdf

10 páginas
Anónimo

@Anónimo

He publicado nuevos apuntes de 2º Macroeconomía: Macroeconomics-3.pdf

19 páginas
Anónimo

@Anónimo

He publicado nuevos apuntes de 2º Macroeconomía: Macroeconomics-2.pdf

10 páginas
Anónimo

@Anónimo

He publicado nuevos apuntes de 2º Macroeconomía: Macroeconomics-1.pdf

12 páginas

He publicado nuevos apuntes de 2º Macroeconomía: TEMA-1.pdf

3 páginas

He publicado nuevos apuntes de 2º Macroeconomía: macro-apuntes-ingles.pdf

14 páginas

He publicado nuevos apuntes de 2º Macroeconomía: Teoria-Solow.pdf

2 páginas

He publicado nuevos apuntes de 2º Macroeconomía: Repaso-y-practica.pdf

8 páginas

He publicado nuevos apuntes de 2º Macroeconomía: Repaso.pdf

2 páginas

Apuntes hechos a mano, espero que entiendan mi letra.

34 páginas

He publicado nuevos apuntes de 2º Macroeconomía: Unemployment.pdf

2 páginas

He publicado nuevos apuntes de 2º Macroeconomía: Monetary-Policy.pdf

4 páginas

He publicado nuevos apuntes de 2º Macroeconomía: National-Income.pdf

2 páginas
Anónimo

@Anónimo

examenes

-

Macroeconomics

He publicado nuevos examenes de 2º Macroeconomía: Macroeconomics

Midterm-2022.pdf
8.pdf
3.pdf
7.pdf
1.pdf
9.pdf

apuntes

-

Homeworks

He publicado nuevos apuntes de 2º Macroeconomía: Homeworks

Homework-10221123140338.pdf
Exercises-1221004230608.pdf
Exercises-2220921135010.pdf
Homework-3221013133948.pdf
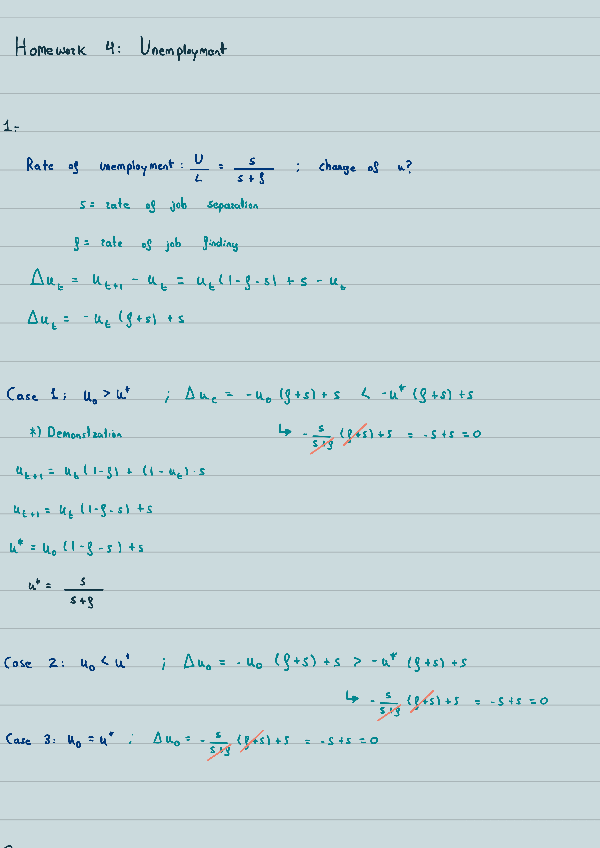
Homework-4221013134726.pdf
Homework-9221116140129.pdf

apuntes

-

Macroeconomics

He publicado nuevos apuntes de 2º Macroeconomía: Macroeconomics

Chapter-3-National-Income221124120227.pdf
Chapter-45220923120719.pdf
Chapter-4-Unemployment220930115923.pdf
Chapter-10-Open-Economy221123123023.pdf
Chapter-9-Aggregate-Supply-short-run221124120412.pdf
Chapter-6-Economic-Growth-II221124120342.pdf