Maquinas Eléctricas I

chevron_left
chevron_right
Todo
Apuntes
Ejercicios
Exámenes
Prácticas
publication
Test
chevron_left
chevron_right

examenes

-

examenes_mmee_2023_24

PIPÍLDORA: Exámenes de convocatoria oficial resueltos

resolucionexamenmmee2023241C.pdf
Enunciado2324.pdf
Resultados2324.pdf
Teoria2324.pdf
Prob23242C.pdf
Resultados23242C.pdf

apuntes

-

Quizlet Preguntas Tipo Test

He publicado nuevos apuntes de 2º Maquinas Eléctricas I: Quizlet Preguntas Tipo Test

Miniatura no disponible
https://quizlet.com/user/margaroto/folders/maquinas-electricas-i?i=2ibtp1&x=1xqt

He publicado nuevos apuntes de 2º Maquinas Eléctricas I: Algunas-Formulas.pdf

3 páginas

He publicado nuevos test de 2º Maquinas Eléctricas I: Preguntas-del-Test.pdf

6 páginas

He publicado nuevos apuntes de 2º Maquinas Eléctricas I: Tema-3.-Transformadores-trifasicos.pdf

8 páginas

PIPÍLDORA: Formulario completo, para mí fundamental para hacer los problemas

2 páginas

ejercicios

-

Todos los ejercicios resueltos y corregidos

PIPÍLDORA: Ejercicios de clase resueltos y corregidos. Aparecen las fórmulas y la resolución de cada apartado

maqresueltosv4DFIG.pdf
maqresueltosv4maquinasasincronas.pdf
maqresueltosv4transformadores.pdf

He publicado nuevos apuntes de 2º Maquinas Eléctricas I: Tema-2.-Transformadores-monofasicos.pdf

8 páginas

He publicado nuevos apuntes de 2º Maquinas Eléctricas I: Tema-1.-Teoria-de-maquinas-electricas.pdf

6 páginas

apuntes

-

TRAFOS

He publicado nuevos apuntes de 2º Maquinas Eléctricas I: TRAFOS

TRAFO-1.pdf
TRAFO-2.pdf

He publicado nuevos examenes de 3º Maquinas Eléctricas I: 26-1-21-PROBLEMES-2solucions.pdf

8 páginas

He publicado nuevos examenes de 3º Maquinas Eléctricas I: PREGUNTAS-POSSIBLES-TEORIA-MS.pdf

2 páginas

He publicado nuevos examenes de 3º Maquinas Eléctricas I: 2020-Teoria--transformadors.pdf

1 página

He publicado nuevos examenes de 3º Maquinas Eléctricas I: Examen-Lab-2018.jpeg

Imagen

He publicado nuevos examenes de 3º Maquinas Eléctricas I: 25-1-15-PROBLEMES-2MSsolucio.pdf

8 páginas

He publicado nuevos examenes de 3º Maquinas Eléctricas I: 24-1-19-PROBLEMES-2MSSolucions.pdf

7 páginas

Apunts examen final Màquines Elèctriques l, resum de les diapos i comentaris de classe.

30 páginas

2º Parcial Máquinas Asíncronas. Diciembre 2025

2 páginas
Anónimo

@Anónimo

Uno de los libros recomendados.

294 páginas
Anónimo

@Anónimo

Uno de los libros recomendados.

521 páginas
Anónimo

@Anónimo

Uno de los libros recomendados.

55 páginas
Anónimo

@Anónimo

Uno de los libros recomendados.

187 páginas

He publicado nuevos examenes de 4º Maquinas Eléctricas I: Teoria-y-problemas-Primer-parcial-2025.pdf

2 páginas

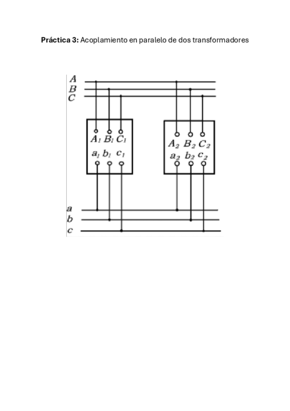
He publicado nuevos practicas de 2º Maquinas Eléctricas I: Informe-P3.pdf

12 páginas

practicas

-

Prácticas MEI

Todas las prácticas de Máquinas Eléctricas I

P1.pdf
P5.pdf
P4.pdf
P3.pdf
P2.pdf

He publicado nuevos examenes de 3º Maquinas Eléctricas I: 1-er-parcial-2526.pdf

2 páginas

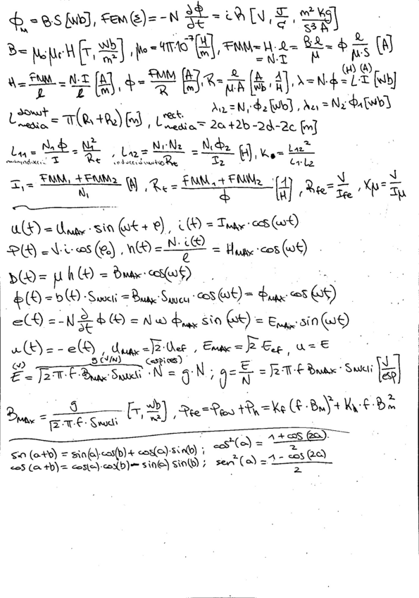
He publicado nuevos apuntes de 2º Maquinas Eléctricas I: formulario-parcial.pdf

2 páginas

No se sap si seran aquestes, però mirant els apunts són algunes possibles

4 páginas

He publicado nuevos apuntes de 3º Maquinas Eléctricas I: Diapositives-Juntes-Teoria-ME1.pdf

104 páginas

He publicado nuevos apuntes de 2º Maquinas Eléctricas I: Practica-2.pdf

18 páginas

He publicado nuevos apuntes de 2º Maquinas Eléctricas I: excel-p2-transbuit.xlsx

excel

He publicado nuevos apuntes de 2º Maquinas Eléctricas I: T2Transformadors.pdf

32 páginas

He publicado nuevos practicas de 2º Maquinas Eléctricas I: Informe-P2.pdf

13 páginas

He publicado nuevos practicas de 2º Maquinas Eléctricas I: Informe-P1.pdf

8 páginas

RESOLUCION DE LA PARTE TEORICA

2 páginas

CONVOCATORIA ORDINARIA PARTE TEORIA 23 /24

2 páginas

RESOLUCIÓN DE LA CONVOCATORIA ORDINARIA

1 página

CONVOCATORIA ORDINARIA 23/24

2 páginas

EJERCICIOS DE TRANSFORMADORES

16 páginas

EJERCICIOS DE MÁQUINAS ASINCRONAS

12 páginas

EJERCICIOS DE MÁQUINAS ELÉCTRICAS DOBLEMENTE ALIMENTADAS

2 páginas
Anónimo

@Anónimo

RESUMEN PARA RENDIR FINAL TEÓRICO DE MÁQUINAS ELÉCTRICAS I

89 páginas

He publicado nuevos apuntes de 2º Maquinas Eléctricas I: AAD-MAQUINAS-ELECTRICAS-I-Transformadores-Tipo-test-corregido-Milagros.jpg

Imagen

He publicado nuevos apuntes de 2º Maquinas Eléctricas I: Tema-3.3.-Calculo-de-las-Corrientes-de-Cortocircuito.pdf

5 páginas

He publicado nuevos apuntes de 2º Maquinas Eléctricas I: Tema-3.2.-Canalizaciones-Electricas.pdf

8 páginas

He publicado nuevos apuntes de 2º Maquinas Eléctricas I: Tema-3.1.-Simbologia-y-Esquemas-Electricos--Documentacion.pdf

2 páginas

He publicado nuevos apuntes de 2º Maquinas Eléctricas I: Tema-2.-Motor-de-Induccion.pdf

5 páginas

He publicado nuevos apuntes de 2º Maquinas Eléctricas I: Tema-1.-El-Transformador.pdf

6 páginas

He publicado nuevos apuntes de 2º Maquinas Eléctricas I: Miniapuntes.pdf

4 páginas

He publicado nuevos apuntes de 2º Maquinas Eléctricas I: Apuntes-para-el-Examen.pdf

3 páginas

He publicado nuevos apuntes de 2º Maquinas Eléctricas I: Apuntes-de-Resolucion-de-Ejercicios.pdf

2 páginas

He publicado nuevos apuntes de 2º Maquinas Eléctricas I: Tests.pdf

3 páginas

He publicado nuevos apuntes de 2º Maquinas Eléctricas I: Tema-4.-Luminotecnia.pdf

2 páginas

He publicado nuevos apuntes de 2º Maquinas Eléctricas I: Tema-3.5.-Protecciones-Frente-a-Sobreintensidades.pdf

3 páginas

He publicado nuevos apuntes de 2º Maquinas Eléctricas I: Tema-3.4.-Aparamenta.pdf

7 páginas

He publicado nuevos apuntes de 3º Maquinas Eléctricas I

Miniatura no disponible
https://bancodeapuntesepigijon.blogspot.com/
Anónimo

@Anónimo

He publicado nuevos examenes de 4º Maquinas Eléctricas I: Problema-examen.pdf

9 páginas

apuntes

-

Trifasica

He publicado nuevos apuntes de 2º Maquinas Eléctricas I: Trifasica

T0Trifasica.pdf

apuntes

-

transformadores

He publicado nuevos apuntes de 2º Maquinas Eléctricas I: transformadores

teoriatransformafores.pdf

apuntes

-

maquinas asincronas

He publicado nuevos apuntes de 2º Maquinas Eléctricas I: maquinas asincronas

teoriaasincronas2.pdf
teoriamaquinasasincronas.pdf