gatoingeniero
RESUMEN-EXAMEN.pdf
6 páginas
Test - test-maq.pdf
pdf
3 páginas
174
4
Trabajos - trabajo-maquinas-electricas.xlsx
xlsx
74
0
Trabajos - TRABAJO-MAQUINAS-ELECTRICAS.pdf
7 páginas
96
1
Exámenes - Test-Global-2o-Examen.pdf
2 páginas
61
3
Apuntes - PREGUNTAS-MAQUINAS.pdf
4 páginas
69
Prácticas - memoria-practicas.pdf
26 páginas
63
Apuntes - TEORIA-2P-AMPLIACION.pdf
8 páginas
57
2
Exámenes - RESUMEN-2-PARCIAL.pdf
9 páginas
52
Exámenes - CUESTIONES-MAQUINAS.pdf
5 páginas
45
Ejercicios - trifasica-acoplamientos-y-autotrafos.pdf
17 páginas
55
Prácticas - Trabajo-Final-T-5-.pdf
41 páginas
Apuntes - TEORIA-RECU.pdf
47
Apuntes - PREGUNTAS-PARCIAL-2-MAQUINAS.pdf
41
Prácticas - Practica-4.pdf
11 páginas
34
Apuntes - Cuestiones-AME.pdf
35
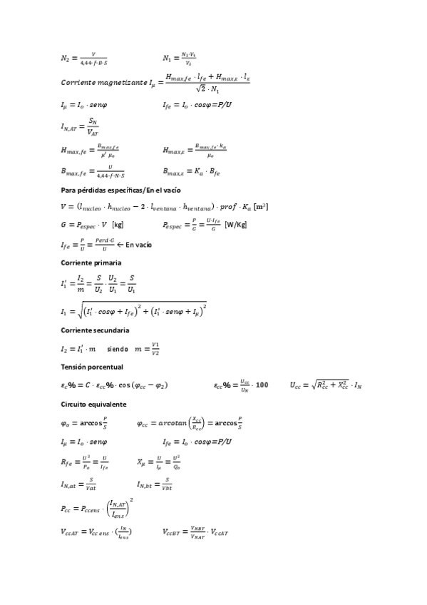
Apuntes - Formulario-Transformador-Monofasico.pdf
33
Apuntes - Formulas-Primer-Parcial-Ampliacion-Maquinas-Electricas.pdf
1 página
43
Apuntes - trabajo-maq-19-20-copia.pdf
46
Exámenes - Examen-2-parte-2017.pdf
32
Prácticas - Practica-5.pdf
13 páginas
38