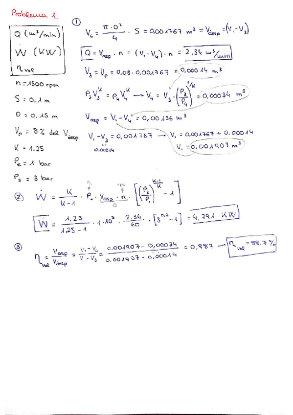
Máquinas Térmicas
Todo
Apuntes
Otros
chevron_left
chevron_right
otros
-
EXÁMENES RESUELTOS y apuntes
He publicado nuevos otros de 3º Máquinas Térmicas: EXÁMENES RESUELTOS y apuntes
apuntes
-
maquinas termicas
He publicado nuevos apuntes de 3º Máquinas Térmicas: maquinas termicas
¡Estás al día!
Has visto todos los archivos