Portada
Asignatura
Doble Grado en Economía y Administración y Dirección de Empresas (UMA)
Mat. para la Econom. y la Empresa
Fecha de subida
02 feb 2022
Categoría
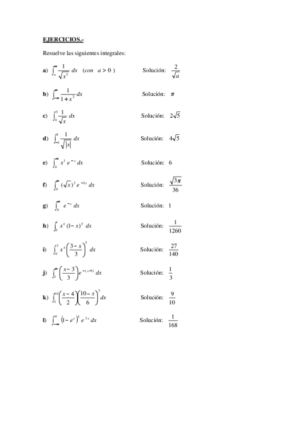
ejercicios
Etiquetas
Exámenes - Parcial-2021-Enunciados-y-Solucion.pdf
pdf
0 páginas
115
0
Exámenes - Parcial-2020-Enunciados-y-Solucion.pdf
96
Apuntes - Parcial-1.pdf
2 páginas
37
1
Exámenes - Examen-Parcial.pdf
3 páginas
60
Apuntes - IMG5612-converted.pdf
10 páginas
31
Apuntes - IMG5630-converted.pdf
11 páginas
33
Apuntes - IMG5490-convertido.pdf
6 páginas
16
Apuntes - Parcial-2.-Leccion-1-2-3.pdf
17
Apuntes - IMG5622-converted.pdf
8 páginas
Apuntes - IMG5606-converted.pdf
5 páginas
Apuntes - IMG5588-convertido.pdf
17 páginas
18
Apuntes - Resumen-Parcial-1-derivadas.pdf
24
Ejercicios - RelacionProblemasLeccion1parte3Solucion.pdf
26
Ejercicios - RelacionProblemasLeccion1parte2.pdf
20
Apuntes - Parcial-1. Lección 1 Teoría de Funciones.pdf
2
Apuntes - Ejerciciosdederivadas.pdf
1 página
6
Apuntes - 2018-2019-PROBLEMAS-RESUELTOS-LECCION2.pdf
22 páginas
13
Apuntes - Soluciones-problemas-leccion-1.pdf
32 páginas
9
Ejercicios - RelprL11-4BasicaEnunciados.pdf
10
Ejercicios - 2013-2014-PROBLEMAS-Leccion2.pdf
4 páginas