Portada
Asignatura
Grado en Edificación (US)
Matemática Aplicada a la Edificación II
Fecha de subida
18 oct 2023
Categoría
apuntes
Etiquetas
Apuntes - recopilatorio-superficies.zip
zip
100
2
Apuntes - apuntes-ejercicios-tema1.pdf
pdf
19 páginas
169
Apuntes - apuntes-ejercicios-tema2.pdf
11 páginas
123
1
Apuntes - TEMA 1 CURVAS Y SUPERFICIES.pdf
10 páginas
89
0
Apuntes - TEMA-2-DIFERENCIACION.pdf
24 páginas
37
Apuntes - recopilacion-diferenciacion.zip
42
3
Apuntes - TEMA 1 2 3 RESUMEN.pdf
4 páginas
93
Apuntes - autoevaluaciones-tema-3.zip
47
Apuntes - Problemas. Tema 3, 4 y 5.1. Bloque 2.pdf
16 páginas
57
5
Apuntes - Tema-1-Curvas-y-superficies.pdf
15 páginas
120
Apuntes - TEMA 2 MATES. WUOLAH.pdf
13 páginas
70
Apuntes - DERIVADAS E INTEGRALES.pdf
21 páginas
63
Apuntes - TEMA 4-5 INTEGRALES MULTIPLES Y APLICACIONES FISICAS.pdf
49
Apuntes - Bloque-2-mates.pdf
14 páginas
75
Ejercicios - Ejercicios-tema-1.pdf
12 páginas
60
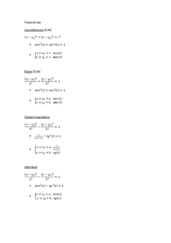
Apuntes - Matematicas-II-Tema-1-Parametrizar.pdf
3 páginas
52
Exámenes - CONVOCATORIA-JUNIO-RESUELTA-MAE-II.pdf
5 páginas
Exámenes - Examenes2021.pdf
32 páginas
54
4
Apuntes - TEMA 2 DIFERENCIACION DE FUNCIONES DE VARIAS VARIABLES.pdf
48
Apuntes - MAE-II-BLOQUE-2.pdf
51