Matemática Discreta y Lógica Matemática II

chevron_left
chevron_right
Todo
Apuntes
Preguntas
Ejercicios
Exámenes
Prácticas
chevron_left
chevron_right

He publicado nuevos apuntes de 1º Matemática Discreta y Lógica Matemática II: Tema-4-tabreaux-en-logica-proposicional.pdf

2 páginas
Anónimo

@Anónimo

He publicado nuevos apuntes de 1º Matemática Discreta y Lógica Matemática II: Apuntes-MDL2-Tema-4-Tableaux-en-logica-proposicional.pdf

3 páginas
Anónimo

@Anónimo

Resumen mejorado

6 páginas
Anónimo

@Anónimo

He publicado nuevos apuntes de 1º Matemática Discreta y Lógica Matemática II: Apuntes-MDL2-Tema-3.pdf

3 páginas

apuntes

-

Resumenes por temas

He publicado nuevos apuntes de 1º Matemática Discreta y Lógica Matemática II: Resumenes por temas

T1-Grafos.pdf
T2-Combinatoria.pdf
T3-Logica-Proposicional.pdf
T4-Tableux-aplicaciones.pdf

Apuntes de grafos (tema 1).

3 páginas

Apuntes completos del tema 2

2 páginas

Apuntes de lógica proposicional (tema 3) con ejemplos de algunos conceptos.

3 páginas
Anónimo

@Anónimo

ejercicios

-

Grafos

dos hojas de ejercicios y una tipo test hechas

Hoja-1-grafos-MDLII.pdf
Hoja-1-grafos-enunciados.pdf
Hoja-2-Grafos-MDLII.pdf
Hoja-3-test-grafos-MdLII.pdf
hoja-3-test-grafos-enunciado.pdf
Anónimo

@Anónimo

He publicado nuevos apuntes de 1º Matemática Discreta y Lógica Matemática II: Apuntes-MDL2-Tema-1-Grafos.pdf

3 páginas
Anónimo

@Anónimo

He publicado nuevos apuntes de 1º Matemática Discreta y Lógica Matemática II: Apuntes-Tema-2-MDL2-Combinatoria.pdf

3 páginas

He publicado nuevos apuntes de 1º Matemática Discreta y Lógica Matemática II: Mdl2-resumenes.pdf

15 páginas

He publicado nuevos apuntes de 1º Matemática Discreta y Lógica Matemática II: Grafos-y-multigrafos-completo.pdf

7 páginas

apuntes

-

Apuntes

He publicado nuevos apuntes de 1º Matemática Discreta y Lógica Matemática II: Apuntes

Tema-1-Grafos-MDyL-2.pdf
Tema-2-Combinatoria-MDyL-2.pdf
Tema-3-Logica-Proposicional.pdf
Tema-4-Logica-de-Primer-Orden.pdf

Resumen con todo lo necesario del tema de Grafos.

5 páginas

apuntes

-

Aplicaciones Tableaux_251027_101003

He publicado nuevos apuntes de 1º Matemática Discreta y Lógica Matemática II: Aplicaciones Tableaux_251027_101003

Aplicaciones-Tableaux251027101003.pdf
Ejercicios-tableaux251027101019.pdf
Fundamentos-Tableaux251027101009.pdf

Todos los ejercicios resueltos de MDL2

86 páginas

Ejercicios resueltos. Todas las hojas estan resueltas

86 páginas

apuntes

-

Temario

He publicado nuevos apuntes de 1º Matemática Discreta y Lógica Matemática II: Temario

Tema-1-Grafos.pdf
Tema-2-Combinatoria.pdf
Tema-3-Logica-proposicional.pdf
Tema-4-Tableaux-en-logica-proposicional.pdf
Tema-5-Logica-de-primer-orden.pdf
Tema-6-Tableaux-en-logica-de-primer-orden.pdf

ejercicios

-

Ejercicios Todos

Todas las hojas de ejercicios

Hoja-1.pdf
Hoja-2.pdf
Hoja-3.pdf
Hoja-4-sol.pdf
Hoja-5-sol.pdf
Hoja-6-sol.pdf

examenes

-

Exámenes finales

Exámenes ordinaria y extraordinaria 2025

ExExtraordinario-25-sol.pdf
ExExtraordinario-25.pdf
ExOrdinario-25-sol.pdf
ExOrdinario-25.pdf

examenes

-

Examenes Resueltos

He publicado nuevos examenes de 1º Matemática Discreta y Lógica Matemática II: Examenes Resueltos

Examen-Julio-2021.pdf
Examen-Junio-2020.pdf
Examen-Junio-2021.pdf
Examen-Junio-2022.pdf
Examen-Junio-2023.pdf
Examen-Junio-2024.pdf

Resumen de toda la asignatura comprimida en 6 caras. Todos los esquemas, fórmulas y apuntes necesarias para aprobar la asignatura.

6 páginas

Resumen de toda la asignatura comprimida en 6 caras. Todos los esquemas, fórmulas y apuntes necesarias para aprobar la asignatura.

6 páginas

He publicado nuevos apuntes de 1º Matemática Discreta y Lógica Matemática II: MDL2-Tableaux-Proposicional-Logica-Primer-Orden-y-Tableaux-Primer-Orden.pdf

16 páginas

He publicado nuevos apuntes de 1º Matemática Discreta y Lógica Matemática II: MDL2-Combinatoria-Logica-Proposuicional-y-Logica-de-primer-orden--Tableaux.pdf

2 páginas

Hoja 3,4 y 5 Ejercicios

13 páginas

Hoja 2 Ejercicios

15 páginas

Hoja 1 Ejercicios

9 páginas

Ejercicios variados de lógica proposicional

22 páginas

Examenes resueltos, ejercicios y TEORIA FACIL

6 páginas

He publicado nuevos apuntes de 1º Matemática Discreta y Lógica Matemática II: Resumen MDL2.pdf

15 páginas

Ejercicios de Exámenes, con solución y apuntes

3 páginas

apuntes

-

Principio de Inclusión-Exclusión. Fragmento del SPEEDRUN de MDL2

Video y Apuntes sobre Combinatoria del SPEEDRUN de MDL2

Miniatura no disponible
https://www.youtube.com/watch?v=inKkztYOYwA
TODOCombinatoria.pdf

Ejercicios de exámenes, hojas con soluciones...

7 páginas

apuntes

-

HOJA3_LOGICA_DE_PREDICADOS_RESUELTA

Los ejercicios de esta hoja estan resultos, si hay algun error o alguno se puede mejorar decirmelo PORFA.

hoja3ENUNCIADOS.pdf
Hoja3RESUELTA.pdf

apuntes

-

Hoja2_LOGICA_PROPOSICIONAL_RESUELTA

Los ejercicios de esta hoja estan resultos, si hay algun error o alguno se puede mejorar decirmelo PORFA.

Hoja2RESUELTA.pdf
Hoja2ENUNCIADOS.pdf

apuntes

-

HOJA1_LOGICA_PROPOSICIONAL_RESUELTA

Los ejercicios de esta hoja estan resultos, si hay algun error o alguno se puede mejorar decirmelo PORFA.

Hoja1SOLUCION.pdf
Hoja1ENUNCIADOS.pdf

Tema 3: Lógica Proposicional

6 páginas

Tema 2: Combinatoria

4 páginas
Anónimo

@Anónimo

He publicado nuevos examenes de 1º Matemática Discreta y Lógica Matemática II: 2025-Examen-grafos-y-combinatoria-version2.pdf

1 página
Anónimo

@Anónimo

He publicado nuevos examenes de 1º Matemática Discreta y Lógica Matemática II: EXAMEN-2025-Grafos-y-combinatoria.pdf

1 página

He publicado nuevos apuntes de 1º Matemática Discreta y Lógica Matemática II: T-1-GRAFOS.pdf

Miniatura no disponible
2 páginas

Tema 1: Grafos

7 páginas

Apuntes del tema 1 de matemática discreta.

5 páginas

apuntes

-

CUESTIONARIOS DISCRETA 2

He publicado nuevos apuntes de 1º Matemática Discreta y Lógica Matemática II: CUESTIONARIOS DISCRETA 2

CUESTIONARIO-TEMA-1-GRAFOS.pdf
CUESTIONARIO-TEMA-2-COMBINATORIA.pdf

He publicado nuevos ejercicios de 1º Matemática Discreta y Lógica Matemática II: EntregaCombinatoriaMDL2.pdf

1 página

apuntes

-

Resumenes

He publicado nuevos apuntes de 1º Matemática Discreta y Lógica Matemática II: Resumenes

CombinatoriaMDL2.pdf
GrafosMDL2.pdf
LogicaMDL2.pdf

He publicado nuevos apuntes de 1º Matemática Discreta y Lógica Matemática II: MDL2-T3-Logica-proposicional.pdf

2 páginas

He publicado nuevos apuntes de 1º Matemática Discreta y Lógica Matemática II: MDL2-T4-Logica-de-primer-orden.pdf

3 páginas
Anónimo

@Anónimo

practicas

-

ENTREGAS MARGARITA 23-24

He publicado nuevos practicas de 1º Matemática Discreta y Lógica Matemática II: ENTREGAS MARGARITA 23-24

Entrega1-Grafos.pdf
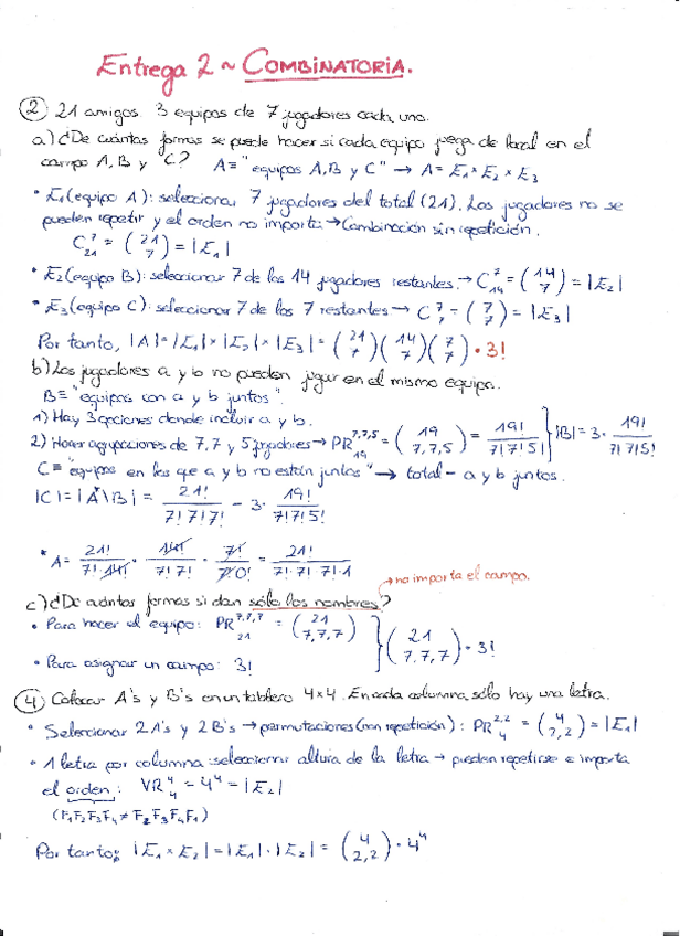
Entrega2-Combinatoria.pdf

He publicado nuevos ejercicios de 1º Matemática Discreta y Lógica Matemática II: Ejercicios-combinatoria-hoja-3.pdf

7 páginas

He publicado nuevos apuntes de 1º Matemática Discreta y Lógica Matemática II: MDL2-T2-Combinatoria.pdf

2 páginas

He publicado nuevos apuntes de 1º Matemática Discreta y Lógica Matemática II: MDL2-T1-Grafos.pdf

6 páginas

He publicado nuevos apuntes de 1º Matemática Discreta y Lógica Matemática II: COMBINATORIA-FORMULARIO-ejemplos-y-observaciones.pdf

2 páginas

He publicado nuevos apuntes de 1º Matemática Discreta y Lógica Matemática II: LOGICA-PROPOSICIONAL-Y-TABLEAUX-observaciones-y-ejemplos.pdf

8 páginas

He publicado nuevos apuntes de 1º Matemática Discreta y Lógica Matemática II: LOGICA-PRIMER-ORDEN-ejemplos-y-observaciones.pdf

10 páginas

He publicado nuevos apuntes de 1º Matemática Discreta y Lógica Matemática II: Tema-2-mdl2.pdf

4 páginas

He publicado nuevos apuntes de 1º Matemática Discreta y Lógica Matemática II: Tema-1-Mdl.pdf

7 páginas

He publicado nuevos examenes de 1º Matemática Discreta y Lógica Matemática II: Ejercicios-examenes-resueltos.pdf

5 páginas