
Grado en Ingeniería de Computadores (UCM)
Madrid
Sube tus apuntes
arrow_forwardAsignaturas de Grado en Ingeniería de Computadores (UCM)
Asignatura
arrow_downward1º
•
35 posts
3º
•
20 posts
3º
•
11 posts
4º
•
0 posts
4º
•
0 posts
3º
•
39 posts
4º
•
0 posts
2º
•
40 posts
4º
•
0 posts
1º
•
10 posts
4º
•
0 posts
4º
•
0 posts
4º
•
0 posts
4º
•
0 posts
3º
•
22 posts
2º
•
40 posts
2º
•
28 posts
2º
•
38 posts
4º
•
6 posts
2º
•
19 posts
1º
•
54 posts
1º
•
9 posts
1º
•
18 posts
1º
•
46 posts
1º
•
13 posts
1º
•
19 posts
2º
•
11 posts
2º
•
8 posts
4º
•
0 posts
4º
•
0 posts
4º
•
0 posts
4º
•
0 posts
1º
•
80 posts
2º
•
50 posts
4º
•
0 posts
4º
•
0 posts
4º
•
0 posts
4º
•
0 posts
4º
•
0 posts
4º
•
0 posts
4º
•
11 posts
3º
•
10 posts
4º
•
0 posts
3º
•
26 posts
4º
•
0 posts
4º
•
1 posts
4º
•
23 posts
4º
•
12 posts
3º
•
19 posts
3º
•
0 posts
2º
•
9 posts
2º
•
2 posts
2º
•
10 posts
4º
•
3 posts
4º
•
0 posts
Últimas publicaciones de Grado en Ingeniería de Computadores (UCM)
Aquí tenéis mi resolución del examen de ME de la ordinaria de 2026.
Ejercicios de R tipo examen final para aquellos que quieren afianzar, generado con respuestas justificadas.
He generado un examen modelo a partir de los exámenes de 2023 un poco más complicado para aquellos de nosotros que ya hicimos todos los modelos de exámenes.
practicas
-
BSP/src Practicas
He publicado nuevos practicas de 3º Programacion de Sistemas y Dispositivos: BSP/src Practicas
apuntes
-
Apuntes LPPL
Guía.pdf: Guía para resolver ejercicios de examen. Examenes.pdf: Exámenes resueltos.
examenes
-
Ejercicios de examen resueltos por tema
He publicado nuevos examenes de 3º Arquitectura de Computadores: Ejercicios de examen resueltos por tema
Conceptos teóricos de bienes, derechos y obligaciones. Casos prácticos 51 al 56 (ejercicios de clasificación "Tiene vs Debe" y "Gasto vs Ingreso"). Explicación de la dinámica de cuentas (Cargar vs Abonar). Casos del 61 al 63.
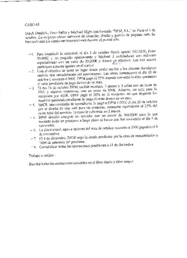
Casos del 65 al 68 con asientos de constitución de sociedades, compras, ventas y préstamos.
He publicado nuevos apuntes de 2º Ingenieria del Software I: IMG20260210110636.jpg
He publicado nuevos examenes de 2º Ingenieria del Software I: IMG20260210110632.jpg
He publicado nuevos apuntes de 1º Matemática Discreta y Lógica Matemática II: Grafos-y-multigrafos-completo.pdf
He publicado nuevos apuntes de 4º Programación de Sistemas Distribuidos: PlantillaMPIDinamico.pdf
Con esto se hacen todos los ejercicios de sockets que caen en el examen.
Soluciones ejercicio de examen de sockets palíndromos. (5 puntos). En todas mis soluciones anteriores hay un error. Hay que añadir esta linea antes de configurar el serverAdress. memset(&serverAddress, 0, sizeof(serverAddress));
Soluciones ejercicio de examen de sockets palíndromos. (5 puntos) La mejor solucion es con fork en este caso.
He publicado nuevos apuntes de 4º Sistemas Empotrados: buses-industriales.pdf
CAE SIEMPRE!!! Pregunta 2. (0.5 puntos) Optimización del consumo de sistemas empotrados a nivel de sistema
Pregunta 3. (0.50 puntos) Bus I2C. Pregunta 3. (0.50 puntos) Bus USB. Pregunta 1. (0.50 puntos) Diferencias y similitudes entre el bus I2C y el bus SPI Pregunta 1. (0.50 puntos) Diferencias y similitudes entre el bus USB y el bus PCI
examenes
-
Examenes y soluciones
He publicado nuevos examenes de 3º Programacion de Sistemas y Dispositivos: Examenes y soluciones
apuntes
-
Java - TP1
Apuntes de Java TP1, desde la introducción hasta la vinculación dinámica y el double-dispatch con ejemplos
apuntes
-
Resumenes
He publicado nuevos apuntes de 3º Arquitectura de Computadores: Resumenes
apuntes
-
Aplicaciones Tableaux_251027_101003
He publicado nuevos apuntes de 1º Matemática Discreta y Lógica Matemática II: Aplicaciones Tableaux_251027_101003
practicas
-
Enunciados prácticas
He publicado nuevos practicas de 3º Programacion de Sistemas y Dispositivos: Enunciados prácticas
practicas
-
labs
He publicado nuevos practicas de 3º Programacion de Sistemas y Dispositivos: labs
practicas
-
Proyecto-Parking
He publicado nuevos practicas de 3º Programacion de Sistemas y Dispositivos: Proyecto-Parking
practicas
-
BSP/src PRACTICAS
He publicado nuevos practicas de 3º Programacion de Sistemas y Dispositivos: BSP/src PRACTICAS
He publicado nuevos apuntes de 3º Ampliacion de Redes: teoria-completa.pdf
He publicado nuevos apuntes de 3º Arquitectura de Computadores: Preguntas-Teoria-AC.pdf
He publicado nuevos examenes de 3º Arquitectura de Computadores: Examenjunio2025solucion.pdf
He publicado nuevos examenes de 2º Fundamentos de Algoritmia: Junio-2025-Con-solucion.pdf
He publicado nuevos apuntes de 2º Fundamentos de Algoritmia: Juez-resueltos-de-juez-de-FAL.pdf
He publicado nuevos examenes de 2º Fundamentos de Algoritmia: Enero-2025-con-solucion.pdf
ejercicios
-
Juez Iterativos con soluciones
He publicado nuevos ejercicios de 2º Fundamentos de Algoritmia: Juez Iterativos con soluciones
ejercicios
-
Juez Divide y Vencerás con soluciones
He publicado nuevos ejercicios de 2º Fundamentos de Algoritmia: Juez Divide y Vencerás con soluciones
ejercicios
-
Juez Vuelta Atrás con soluciones
He publicado nuevos ejercicios de 2º Fundamentos de Algoritmia: Juez Vuelta Atrás con soluciones