IAcastellano
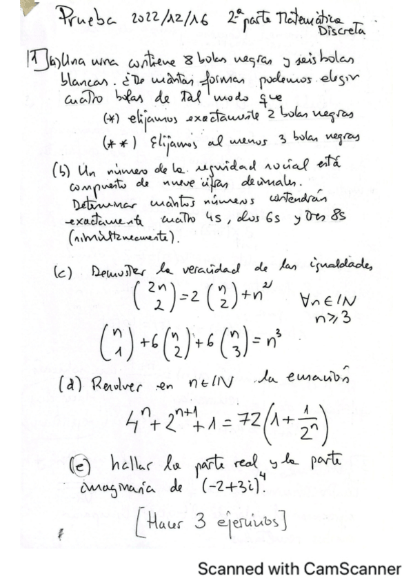
MD_2a parte_Enunciado 1er Examen Parcial.pdf
2 páginas
Apuntes - 8-gaia.pdf
pdf
4 páginas
28
0
Ejercicios - MD_ZenbakiTeoria_Ariketak.pdf
14 páginas
38
Exámenes - MDAzterketaEredua.pdf
3 páginas
35
Apuntes - MD_Grafoak_Teoria+Ariketak.pdf
11 páginas
Ejercicios - MD_AritmetikaMod_Ariketak.pdf
16 páginas
Ejercicios - 5.Zenbaki-teoria.pdf
17 páginas
15
Ejercicios - MD_Erlazioak_Ariketak.pdf
18 páginas
24
Ejercicios - MD_Funtzioak_Ariketak.pdf
10 páginas
Apuntes - AritmetikamodularraetaRSAalgoritmoa.pdf
13
Apuntes - Zenbakiteoria.pdf
12
1
Ejercicios - MD_Multzoak_Ariketak.pdf
8 páginas
23
Apuntes - 7-gaia.pdf
6 páginas
11
Apuntes - 6-gaia.pdf
10
Ejercicios - 1.Multzoen-teoria.pdf
7 páginas
7
Apuntes - Grafoak.pdf
5 páginas
Apuntes - 2-gaia.pdf
8
Apuntes - 1-gaia.pdf
Apuntes - MD_1a parte_apuntes_Teoria de Grafos.pdf
5
Exámenes - MD_2a parte_Enunciado 1er Examen Parcial.pdf
Ejercicios - 8.Prosposizio-logika.pdf