tabla integrales inmediatas.pdf

Luis96lfllfl

Ejercicios de Derivadas/integrales/algebra

10 archivos·

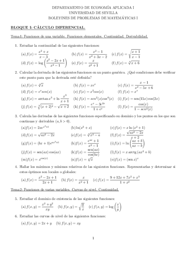
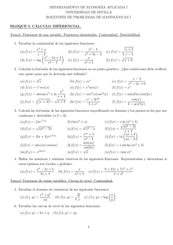
Boletín de problemas Matematicas I.pdf

7 páginas

Problemas resueltos del boletín correspondientes al tema 3.pdf

8 páginas

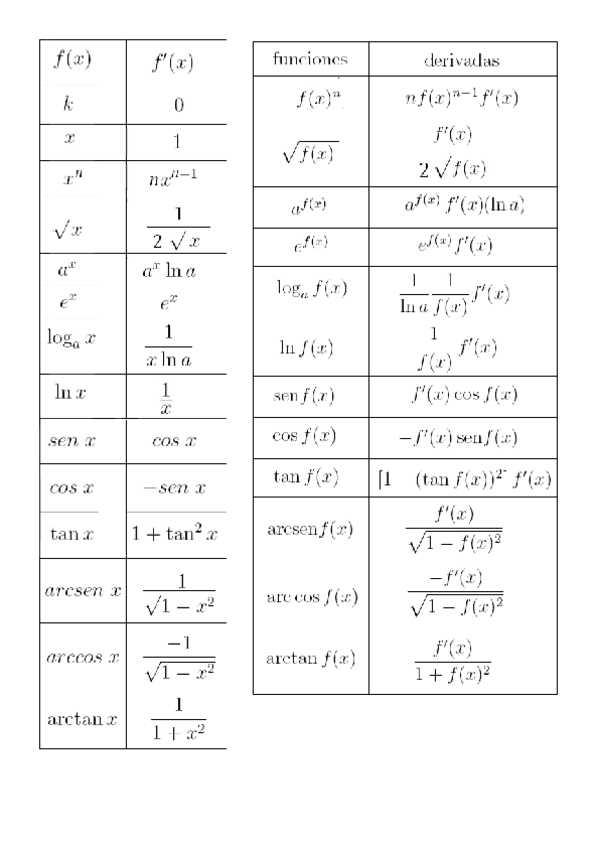
tabla derivadas.pdf

1 página

Boletín de problemas Matematicas I.pdf

7 páginas

tabla integrales inmediatas.pdf

1 página

Tema 7-1 Presentación matrices.ppsx

Tema 7-3 Presentación Inversa de una matriz.ppsx

Tema 7-4 Presentación rango de una matriz.ppsx

Tema 8 Sistemas lineales 2015-2016.ppsx

Tema 9 Espacios vectoriales (1).ppsx

content_copy

Archivos recomendados