ErectPhaIIus
Examenes de Calculo de Una Variable
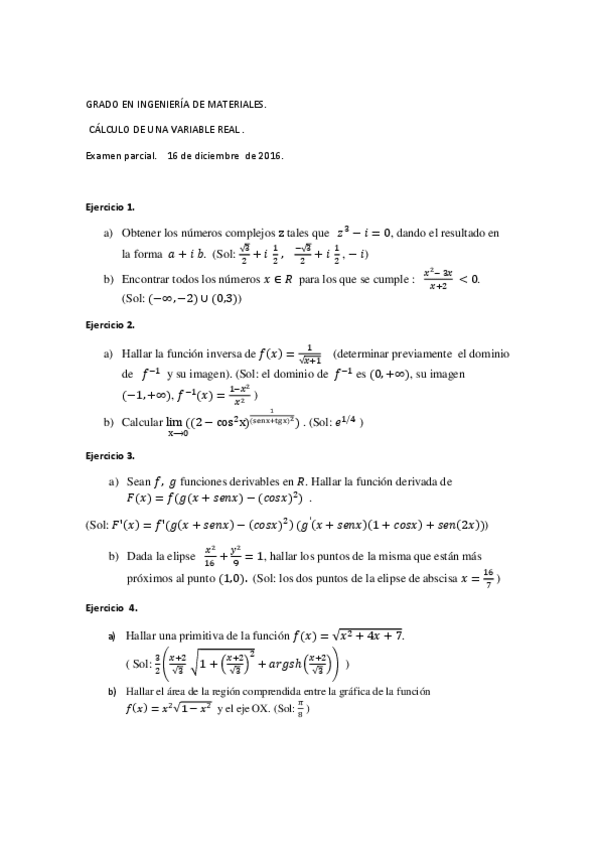
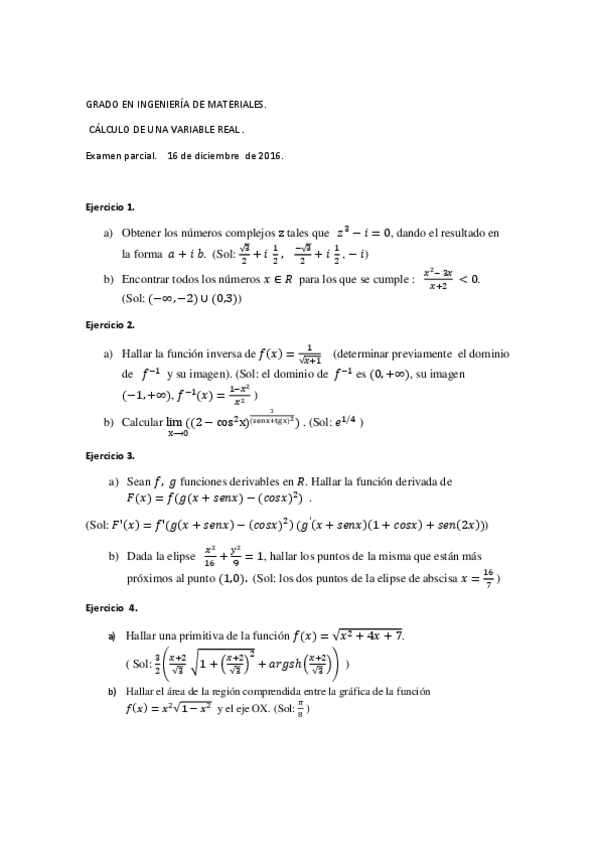
diciembre 16-17.pdf
1 página
ENERO 16-17 soluciones.pdf
Apuntes - Capítulo 1 (Sistemas de ecuaciones matrices y determinantes).pdf
pdf
21 páginas
34
1
Apuntes - P1-teoria.pdf
9 páginas
66
Exámenes - Solución examen 17 Marzo 2017_varias variables.pdf
3 páginas
45
Apuntes - PRIMER-PARCIAL-MATEMATICAS-I.pdf
8 páginas
39
0
Apuntes - Problemas de algebra con esquemas teóricos- 3ra Edición.pdf
630 páginas
28
Apuntes - Parcial-1.pdf
51
Apuntes - P2-mates.pdf
40
2
Apuntes - MATESI-3.pdf
11 páginas
27
Exámenes - extraordinarioalgebracorregido.pdf
5 páginas
Exámenes - ENERO 16-17 soluciones.pdf
29
Exámenes - diciembre 16-17.pdf
42
Exámenes - parcial2solucion.pdf
Apuntes - Capítulo 2. Espacios vectoriales.pdf
17 páginas
31
Apuntes - formulario1.pdf
6 páginas
22
Exámenes - Examen 13 enero 2016.pdf
38
Apuntes - RESUMEN-DE-CALCULO.pdf
13 páginas
Ejercicios - EDO Resolución de los Ejercicios Capítulo 1.pdf
35 páginas
Exámenes - extraordinariocalculo2corregido.pdf
2 páginas
16
Ejercicios - ALGEBRA-EJERCICIOS-RESUELTOS.pdf
7 páginas
Apuntes - y ejercicios ecuaciones-diferenciales-ordinarias.pdf
24