jarritadecerve
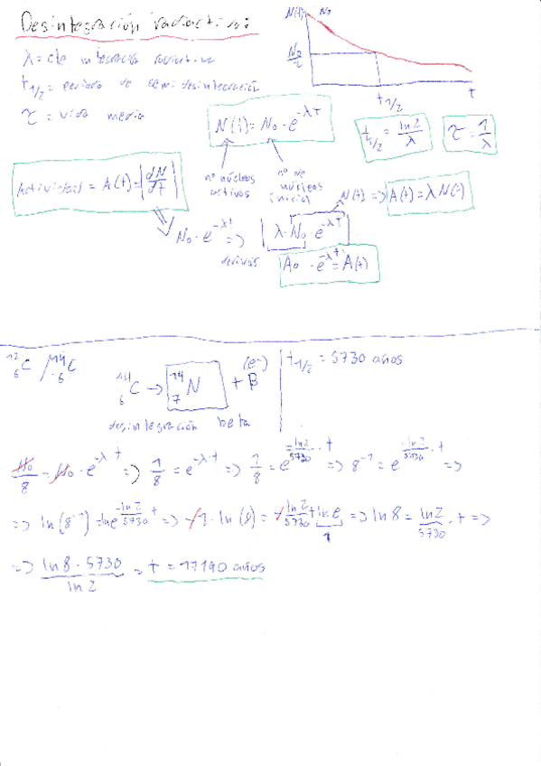
Formulario y ejemplo de ejercicios de desintegración radioactiva.
formulario desintegracion radioactiva.pdf
1 página
Exámenes - EXAMEN-RESUELTO-ENERO-2024.pdf
pdf
3 páginas
160
13
Exámenes - examenes-mate.pdf
6 páginas
150
5
Exámenes - Examen-ordinaria-22-23.pdf
174
12
Exámenes - primer-parcial.pdf
2 páginas
129
3
Exámenes - EXAMEN-ORDINARIA-MATES-2025.pdf
142
4
Apuntes - Apuntes-T1-1.pdf
7 páginas
138
6
Apuntes - Ejercicios-tema-5.pdf
9 páginas
Apuntes - Apuntes-tema-3.pdf
18 páginas
189
Exámenes - Examen-Parcial-1-2022.pdf
169
2
Exámenes - EXAMEN-MATES-EXTRA-2025.pdf
Apuntes - ecuaciones-diferenciales.pdf
10 páginas
123
1
Exámenes - examen-mate-ordinaria.pdf
104
Exámenes - segundo-parcial.pdf
87
Apuntes - MIQUELRIUS.pdf
20 páginas
156
Apuntes - Apuntes-Tema-2.pdf
5 páginas
107
Exámenes - EXAMEN-PARCIAL-MATEMATICAS-202324.pdf
110
7
Exámenes - examen-final-parte-problemas-6-puntos.pdf
84
Exámenes - EXAMEN-ORDINARIA-MATEMATICAS-2024!!.pdf
82
9
Exámenes - EXAMEN-EXTRAORDINARIA-MATE 2024!!.pdf
96
Exámenes - 1-PARCIAL-MATEMATICAS-2023.pdf
95