Portada
Asignatura
Grado en Comercio Internacional (ULe)
Matemáticas Aplicadas a la Empresa
Fecha de subida
15 ene 2026
Categoría
ejercicios
Información
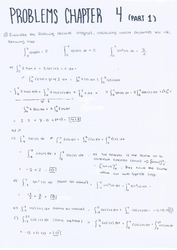
Ejercicio de la ficha del tema 4 parte 1
Etiquetas
#mates
Apuntes - Ejercicios-mates-1o-examen.pdf
pdf
7 páginas
58
3
Apuntes - UNIT-1-Limits-and-continuity-of-real-functions.pdf
8 páginas
61
Exámenes - 2-Examen-mates-corregido.pdf
3 páginas
46
0
Apuntes - mates-apuntes-clase.pdf
31 páginas
41
2
Apuntes - UNIT-3-Properties-and-applications-of-the-derivative-of-a-function.pdf
31
1
Apuntes - UNIT-2-Derivability-of-real-functions.pdf
4 páginas
35
Apuntes - UNIT-4-Integration.pdf
32
Apuntes - UNIT-5-Systems-of-linear-equations.pdf
26
Ejercicios - Ejercicios-mates-2o-examen.pdf
9 páginas
Ejercicios - chapter-6-exercices.pdf
13 páginas
Ejercicios - chapter-5-exercices.pdf
Ejercicios - chapter-4-exercices-part-2.pdf
20 páginas
Ejercicios - chapter-4-exercices-part-1.pdf
10 páginas
Ejercicios - chapter-3-exercises.pdf
32 páginas
Ejercicios - chapter-1-exercises.pdf
Apuntes - apuntes-clase-mates-TEMA-6.pdf
Apuntes - apuntes-clase-mates-TEMA-5.pdf
Apuntes - apuntes-clase-mates-TEMA-4.pdf
18 páginas
Apuntes - apuntes-clase-mates-tema-3.pdf
Apuntes - apuntes-clase-mates-tema-2.pdf
Información
Ejercicio de la ficha del tema 4 parte 1