victoriaglg

Integrales.pdf

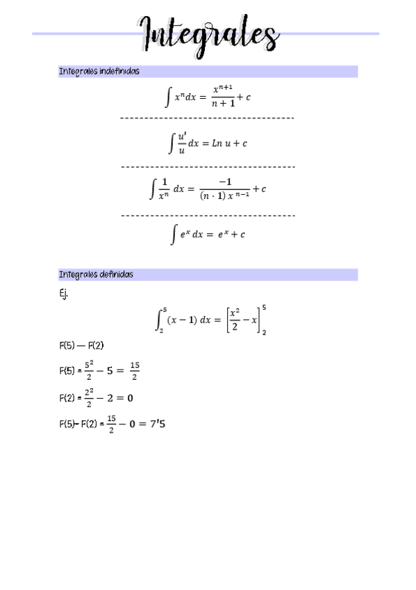
Miniatura del documento Integrales.pdf

Portada

Miniatura del documento Integrales.pdf

Fecha de subida

27 ago 2021

Categoría

apuntes

Información

Bachillerato de Humanidades y Ciencias sociales

Etiquetas

category

apuntes

content_copy

Archivos recomendados