user_2851705
notas de analisis complejo i
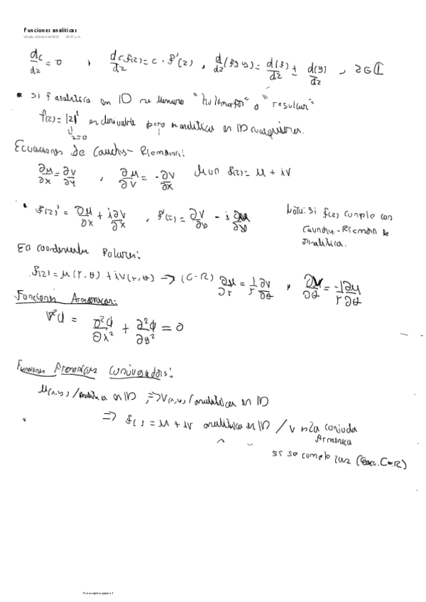
Funciones-analiticas.pdf
1 página
funciones-elementales.pdf
2 páginas
Integracion-en-los-complejos.pdf
3 páginas
Apuntes - Series-y-residuos.pdf
pdf
5 páginas
3
0
Apuntes - Funciones-analiticas.pdf
1
Apuntes - funciones-elementales.pdf
2
Apuntes - Integracion-en-los-complejos.pdf