Portada
Asignatura
Grado en Administración y Dirección de Empresas (UMA)
Matemáticas de las Operaciones Financieras
Fecha de subida
17 feb 2020
Categoría
apuntes
Etiquetas
Exámenes - Examenes de financieras.rar
rar
78
1
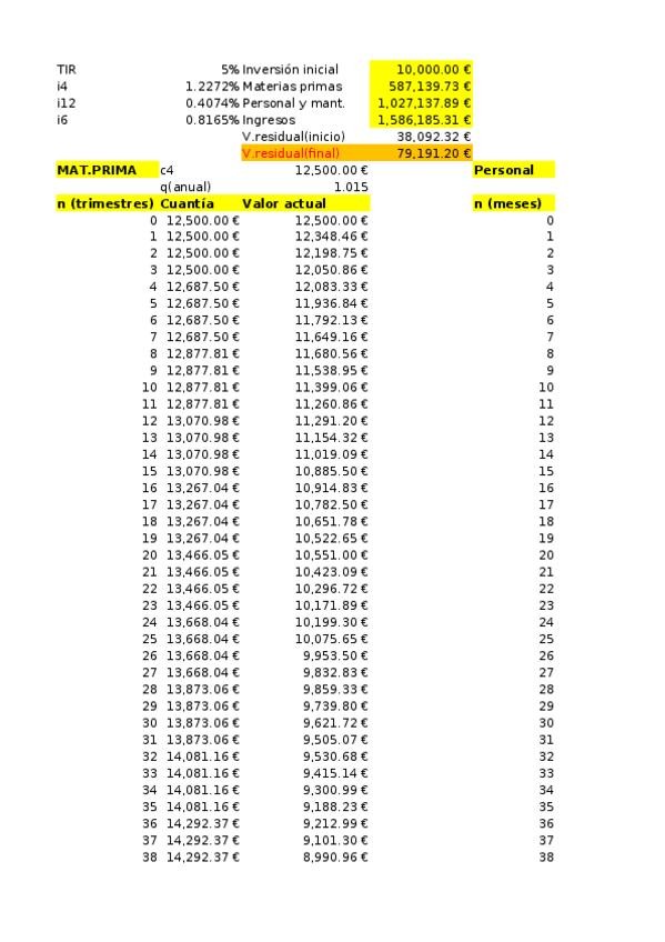
Exámenes - EXAMEN-LECCION-1-y-2.xlsx
xlsx
150
Ejercicios - Relación TODOS EJ TEMA 1.xlsx
47
Ejercicios - RELACION-GENERAL-TEMA-1.xlsx
36
Apuntes - Ejercicio-clase-y-4.xlsx
16
0
Ejercicios - Problemas-relacion-rentas.xlsx
83
Apuntes - EJERCICIOS-TEMA-1.xlsx
141
Apuntes - ejercicio examen.xlsx
49
Ejercicios - Relacion TODOS EJ TEMA 3.xlsx
43
Ejercicios - Relacion-Operaciones-a-corto-SOLUCIONES.xlsx
81
Apuntes - examen-final-2018.xlsx
11
Ejercicios - 9101112 relación problemas.xlsx
26
Ejercicios - Leccion-4.xlsx
22
Apuntes - RELACION-GENERAL-L.xlsx
41
Apuntes - TEMA-1
pdf
16 páginas
204
8
Apuntes - Temas-1-y-2-teoria-financieras.docx
docx
20
Exámenes - examen-final-febrero.pdf
3 páginas
171
2
Exámenes - Examen Parcial 1 2022.pdf
2 páginas
149
Exámenes - Ejercicios hechos.xlsx
Exámenes - examen-rentas-resuelto.xlsx
84