Portada
Asignatura
Grado en Administración y Dirección de Empresas (UCM)
Matemáticas Empresariales I
Fecha de subida
17 sep 2019
Categoría
ejercicios
Etiquetas
Exámenes - Examenprimer-parcial-mates-I-2017.pdf
pdf
16 páginas
290
1
Exámenes - ENERO 2018 resuelto.pdf
4 páginas
214
Apuntes - Chuletario-Matematicas-primer-cuatri.pdf
9 páginas
216
2
Exámenes - Examen-final-enero-mates-I.pdf
184
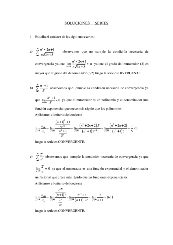
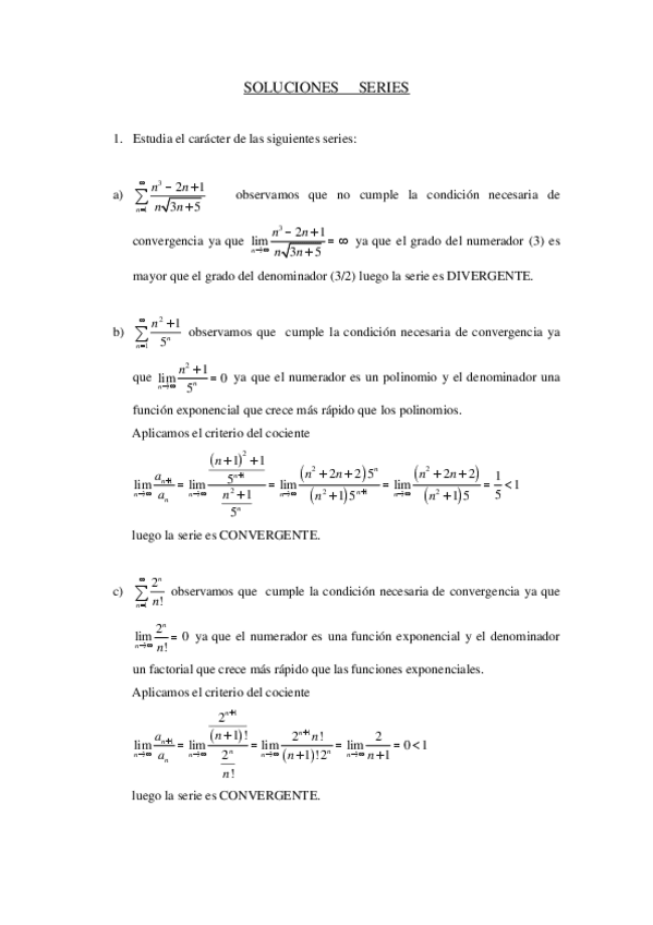
Ejercicios - SOLUCIONES-series16-17.pdf
6 páginas
211
0
Exámenes - EF-2018-19.pdf
7 páginas
135
Ejercicios - SERIES.pdf
1 página
146
Apuntes - Mates-empresa-1.pdf
32 páginas
139
Ejercicios - SOLUCIONES series.pdf
89
Exámenes - Solucion-examen-final-extraordinario-Junio-2024-Danilo-Magistrali.pdf
3 páginas
97
7
Ejercicios - 2-SOLUCION-SERIES.pdf
124
Exámenes - Examen final RESUELTO de Matemáticas Empresariales I.pdf
130
10
Apuntes - Apuntes-Matematicas-empresariales-I.pdf
20 páginas
75
12
Ejercicios - Soluciones-SUCESIONES.pdf
106
Apuntes - Apuntes-ecuaciones-diferenciales-EXAMEN-FINAL.pdf
Apuntes - Apuntes-series-numericas-EXAMEN-FINAL.pdf
121
3
Exámenes - examenes-mates-1.pdf
107
Exámenes - solucion-Examen-Final-mates-I-Danilo.pdf
71
Exámenes - Examen-segundo-parcial-diciembre-2017-mates-I.pdf
12 páginas
116
Apuntes - Apuntes-integrales-EXAMEN-FINAL.pdf
103