Portada
Asignatura
Doble Grado en Administración y Dirección de Empresas y Derecho (URJC)
Matemáticas Empresariales
Fecha de subida
13 sep 2025
Categoría
apuntes
Información
Estos son mis apuntes de mates empresariales del curso 24/25 con los que conseguí aprobar a la primera sin ir a recu. Son los ejercicios del examen tal cual. Mucha suerte!!!!
Etiquetas
Apuntes - Examen-matematicas-segundo-parcial.pdf
pdf
2 páginas
27
0
Apuntes - temario-mates-financieras-apuntes-temas-1-5.pdf
32 páginas
25
Exámenes - examen-2015-preguntas-y-respuestas.pdf
7 páginas
28
Ejercicios - EjercResueltos-Tema-1-Espacios-vectoriales-2.pdf
8 páginas
21
Exámenes - examen-de-muestrapractica-16-enero-2018-preguntas.pdf
1 página
18
1
Exámenes - examen-14-enero-2014-preguntas-y-respuestas.pdf
13 páginas
15
Exámenes - examen-matematicas-empresariales-2013-2014-ade-mostoles.pdf
17
Exámenes - examen-con-soluciones.pdf
14
Exámenes - examen-de-muestrapractica-10-noviembre-preguntas.pdf
11
Ejercicios - EjercSoluciones-Tema-4-0-Derivadas-una-variable.pdf
9
Exámenes - examen-diciembre-2015-preguntas.pdf
3
Ejercicios - EjercResueltos-Tema-2-Diagonalizacion.pdf
5 páginas
7
Exámenes - examen-9-enero-2013-preguntas-y-respuestas.pdf
4 páginas
Exámenes - examen-matematicas-empresariales-economia-y-dobles-grados-enero-2014-resuelto-campus-fuenlabrada.pdf
12
Exámenes - mat-emp-2017-enero-b.pdf
10
Apuntes - Notes241202192609.pdf
5
Ejercicios - EjercSoluciones-Tema-6-Integrales-indefinidas-2.pdf
3 páginas
6
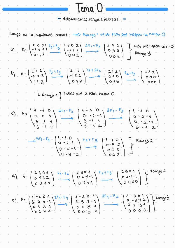
Apuntes - Tema-0-Matrices.pdf
19 páginas
Apuntes - Notes241202113636.pdf
Apuntes - Notes241007154344.pdf
Información
Estos son mis apuntes de mates empresariales del curso 24/25 con los que conseguí aprobar a la primera sin ir a recu. Son los ejercicios del examen tal cual. Mucha suerte!!!!