Portada
Asignatura
Doble Grado en Administración y Dirección de Empresas y Derecho (URJC)
Matemáticas Financieras
Fecha de subida
05 jun 2024
Categoría
apuntes
Etiquetas
Exámenes - EXAMEN MATEMÁTICAS FINANCIERAS 16 DE MAYO 2018.pdf
pdf
10 páginas
76
1
Exámenes - Examen Matamáticas Financieras junio 2018.pdf
56
0
Exámenes - examen empresa II-2.docx
docx
21
Exámenes - Examen-B-Matematicas-Vicalvaro-ADE-DERECHO.pdf
5 páginas
29
2
Apuntes - Examen-A-Matematicas-Vicalvaro-ADE-DERECHO.pdf
23
Apuntes - APUNTES-MATEMATICAS-FINANCIERAS.pdf
16 páginas
24
Exámenes - Examen-Financieras-mayo-2021RESUELTO.pdf
6 páginas
33
3
Apuntes - FORMULASDELAMATEMATICAFINANCIERA.pdf
1 página
9
Apuntes - Problemas-de-examen-rentas.pdf
16
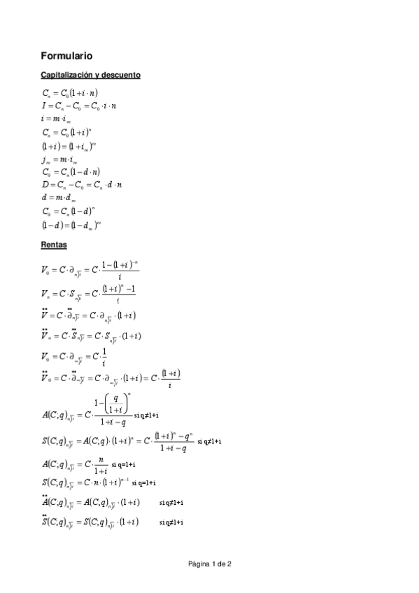
Apuntes - Formulario-capitalizacion-descuento-y-rentas.pdf
2 páginas
5
Apuntes - Formulario-prestamos.pdf
8
Apuntes - MTMatFinanTema1Fundamentos-OK.pdf
9 páginas
6
Apuntes - MTMatFinanTema2LeyesFinancieras-OK.pdf
4 páginas
4
Apuntes - MTMatFinanTema8SistemasAmortizacion.pdf
Apuntes - MTMatFinanTema7Prestamos.pdf
8 páginas
Apuntes - MTMatFinanTema3CapitalizacionSimple-OK.pdf
19 páginas
Apuntes - MTMatFinanTema6Reserva-o-SaldoOp.pdf
Apuntes - MTMatFinanTema4DescuentoSimple.pdf
Apuntes - t4.pdf
27 páginas
29 páginas