chevron_left
chevron_right
Todo
Apuntes
Exámenes
chevron_left
chevron_right

EXAMEN RESUELTO OPCIÓN A

5 páginas

EXAMEN RESULTO OPCIÓN B

5 páginas

He publicado nuevos apuntes de 1º Matemáticas Financieras: FORMULASDELAMATEMATICAFINANCIERA.pdf

1 página

He publicado nuevos apuntes de 1º Matemáticas Financieras: Formulario-prestamos.pdf

1 página

He publicado nuevos apuntes de 1º Matemáticas Financieras: Problemas-de-examen-rentas.pdf

1 página

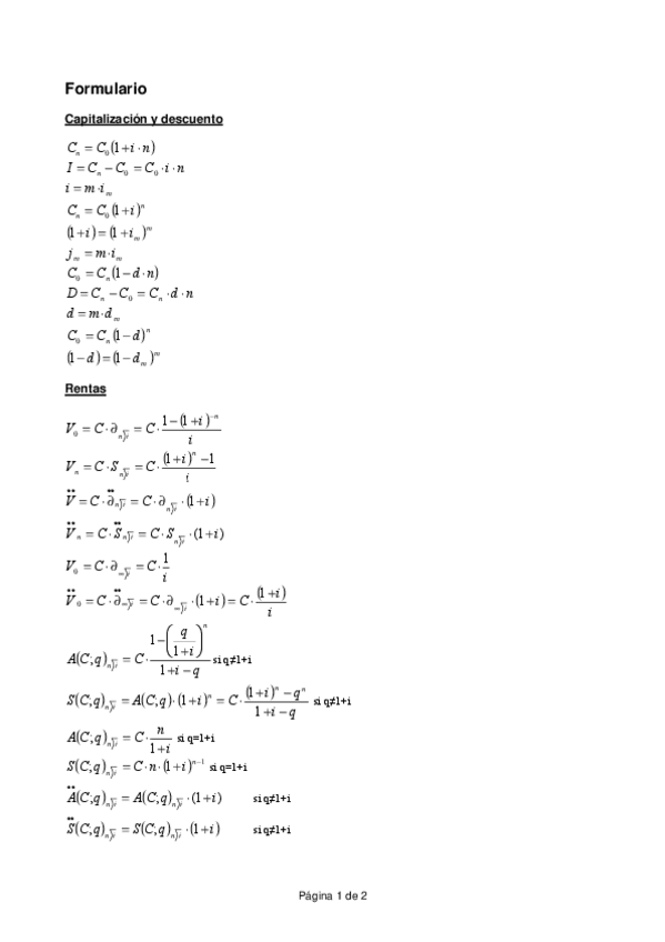
He publicado nuevos apuntes de 1º Matemáticas Financieras: Formulario-capitalizacion-descuento-y-rentas.pdf

2 páginas

He publicado nuevos examenes de 1º Matemáticas Financieras: Examen-Financieras-mayo-2021RESUELTO.pdf

6 páginas

He publicado nuevos apuntes de 1º Matemáticas Financieras: APUNTES-MATEMATICAS-FINANCIERAS.pdf

16 páginas
Anónimo

@Anónimo

apuntes

-

Teoria

He publicado nuevos apuntes de 1º Matemáticas Financieras: Teoria

Temario-carrera-40.pdf
Temario-carrera-41.pdf
Anónimo

@Anónimo

apuntes

-

Teoria

He publicado nuevos apuntes de 1º Matemáticas Financieras: Teoria

Resumen-temario-1.pdf
Resumen-temario-1.pdf

apuntes

-

Matemáticas Financieras

He publicado nuevos apuntes de 1º Matemáticas Financieras: Matemáticas Financieras

MTMatFinanTema6Reserva-o-SaldoOp.pdf
MTMatFinanTema1Fundamentos-OK.pdf
MTMatFinanTema2LeyesFinancieras-OK.pdf
MTMatFinanTema8SistemasAmortizacion.pdf
MTMatFinanTema3CapitalizacionSimple-OK.pdf
MTMatFinanTema7Prestamos.pdf

apuntes

-

Diapositivas Matemáticas Financieras

He publicado nuevos apuntes de 1º Matemáticas Financieras: Diapositivas Matemáticas Financieras

t2.pdf
t3.pdf
t3.pdf
t2.pdf
t1-Introduccion.pdf
t4.pdf

examenes

-

examenes

He publicado nuevos examenes de 1º Matemáticas Financieras: examenes

EXAMEN MATEMÁTICAS FINANCIERAS 16 DE MAYO 2018.pdf
Examen Matamáticas Financieras junio 2018.pdf
examen empresa II-2.docx
¡Estás al día!

¡Estás al día!

Has visto todos los archivos