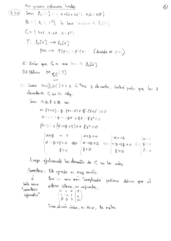
Sonsolesmc
5-Mas-Ejercicios-Aplicaciones-Lineales.pdf
8 páginas
Apuntes - tabla-de-integrales-y-derivadas.docx
docx
0
Apuntes - APUNTES-LIMITES.docx
Apuntes - apuntes-calculo.pdf
pdf
11 páginas
8
Apuntes - 1-Definicion-Espacio-Vectorial.pdf
6 páginas
6
1
Apuntes - 8-Enunciados-Primer-Control-IQ.pdf
2 páginas
3
Apuntes - 5-Mas-Ejercicios-Aplicaciones-Lineales.pdf
Apuntes - 2-Matriz-Asociada-Aplicacion-Lineal.pdf
Apuntes - 3-Composicion-Aplicaciones-Lineales.pdf
4 páginas
Apuntes - 4-Matriz-Cambio-Base.pdf
Apuntes - 6-Matrices-equivalentes-y-matrices-semejantes.pdf
5 páginas
2
Apuntes - Control-ordenador-CE-A.pdf
1 página
Apuntes - Control-ordenador-CE-B.pdf
Apuntes - Control-ordenador-CE-C.pdf