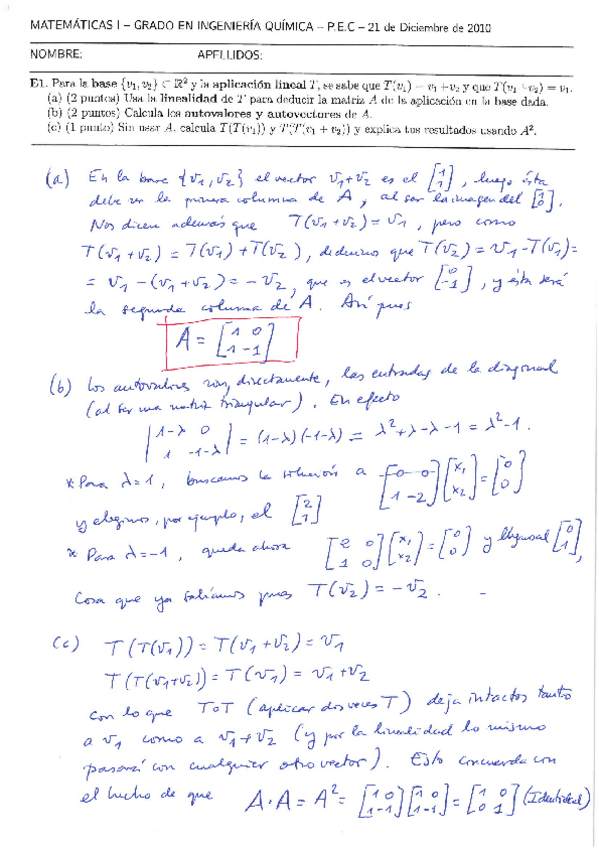
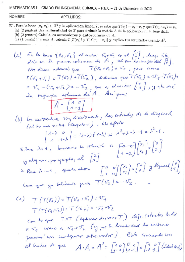
albpg
Colección de Exámenes
Examen Resuelto I.pdf
6 páginas
Examen Resuelto II.pdf
8 páginas
Examen Resuelto III.pdf
16 páginas
Examen Resuelto IV.pdf
Examen Resuelto V.pdf
9 páginas
Exámenes - Examen-MatesI-GIE-Falso-Final.pdf
pdf
257
0
Exámenes - Examen-MatesI-GIE-1oConvo.pdf
224
Apuntes - MAT EMATCAS I - EXAMENES RESUELTOS DE ENCARNI.pdf
86 páginas
73
Exámenes - 30NOV11.pdf
12 páginas
86
Exámenes - Examen Resuelto I.pdf
81
Exámenes - Falso-final-de-Mates-I-Enero-2020.pdf
140
Exámenes - Primer-parcial-2022-con-solucion.pdf
2 páginas
105
3
Exámenes - 12SEP12.pdf
55
Exámenes - Examen-convocatoria-sept.pdf
1 página
172
1
Exámenes - Convocatoria-18-19-Tecnologia-industriales.pdf
131
Exámenes - parcial1resuelto.pdf
56
Apuntes - 2 PARCIAL RESUELTO DESAROLLADO , SAQUE UN 9.pdf
13 páginas
78
Apuntes - ÁLGEBRA PARA INGENIEROS.pdf
84 páginas
52
Apuntes - Leccion 2-Números complejos.pdf
19 páginas
33
Exámenes - Examenes-resueltos.pdf
84
Apuntes - Lección 3-Matrices.pdf
31 páginas
30
Apuntes - Tema-6-mates-1.pdf
11 páginas
108
Exámenes - mezcla de examenes final.pdf
66 páginas
36
Apuntes - FALSO-FINAL-ENERO-2022.pdf
0 páginas
Apuntes - Lección 4-Espacios vectoriales.pdf
36 páginas
31