JaimeGG96
Examen Resuelto Por Profesor y Puntuado.
Parte una y dos
Examen resuelto. Matemáticas 1ª parte. Grupo 3 de Economía.pdf
4 páginas
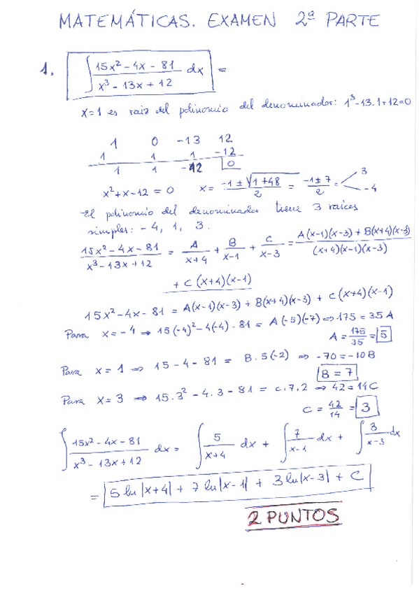
Examen resuelto. Matemáticas 2ª parte. Grupo 3 de Economía.pdf
Apuntes - INTEGRALES.pdf
pdf
2 páginas
12
Trabajos - tarea-bloque-2.pdf
13 páginas
239
0
Trabajos - Tarea-de-algebra.pdf
15 páginas
127
1
Apuntes - Apuntes Matemáticas I completo.pdf
217 páginas
104
Exámenes - Prefinal M1.pdf
7 páginas
138
3
Trabajos - Tarea-temas-2-y-3.pdf
102
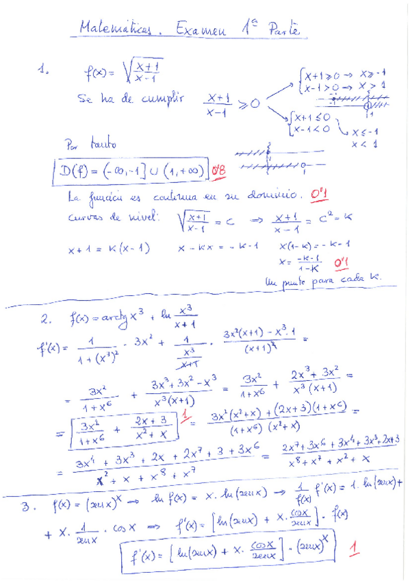
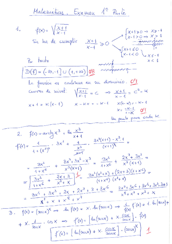
Exámenes - Examen resuelto. Matemáticas 1ª parte. Grupo 3 de Economía.pdf
116
Apuntes - Tarea-derivadas-1.pdf
14 páginas
176
4
Apuntes - Tarea-Integracion-1.pdf
20 páginas
124
Ejercicios - Tarea-integrales.pdf
19 páginas
159
Apuntes - Tarea-Algebra-1.pdf
103
Ejercicios - Tarea-Obligatoria-de-diferenciabilidad.pdf
171
Exámenes - Exameneconoma2022.pdf
145
Exámenes - 2021-Septiembre.pdf
10 páginas
101
Ejercicios - Tarea-algebra.pdf
142
Apuntes - Esquema-Algebra.pdf
6 páginas
71
Apuntes - TAREA-BLOQUE-DE-INTEGRALES.pdf
9 páginas
122
Exámenes - Prefinal M2.pdf
73
Apuntes - tabla de derivadas0.pdf
1 página
82
Exámenes - MI-Eco-Cristobal-Junio14-1 Copy.pdf
80