lamejordebiotec
Exámenes curso 23/24
aquí tenéis los exámenes que me han jodido la vida :(
ExBTDic2023.pdf
1 página
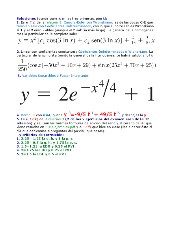
Soluciones.pdf
ExBTEne2024.pdf
SolucionesBTEne2024.pdf
ExBTFeb2024.pdf
SolucionesBTFeb2024.pdf
Apuntes - Teoria-y-Ejercicios-Parte-2.pdf
pdf
26 páginas
211
3
Exámenes - Prueba-1-Soluciones.pdf
202
0
Ejercicios - Series-Andrea-RC.pdf
17 páginas
151
Exámenes - Examen-Segundo-Parcial.pdf
103
Exámenes - ExBTDic2023.pdf
83
1
Exámenes - Examen-Final-Febrero-2019-Soluciones.pdf
2 páginas
122
Exámenes - ExBTFeb2024.pdf
68
2
Exámenes - Soluciones-y-criterios-Examen2-Enero-2023.pdf
Exámenes - Prueba2-SolsAbreviadas.pdf
97
Exámenes - Primer examen parcial, Diciembre 2022.pdf
74
Exámenes - Soluciones.pdf
71
Exámenes - Examen-Extra.pdf
Exámenes - ExBTEne2024.pdf
Exámenes - Prueba3-SolsAbreviadas.pdf
78
Exámenes - Examen1-Diciembre-2022.pdf
79
Ejercicios - Matrices-algebra-lineal-Andrea-RC.pdf
6 páginas
85
Ejercicios - Numeros-complejos-Andrea-RC.pdf
82
Exámenes - Examen2-Enero-2023.pdf
72
Exámenes - SolucionesBTEne2024.pdf
57
Apuntes - EDOs.pdf
11 páginas
34