ingenieraenapuros
Examenes resueltos
Examenes resueltos Mates I.pdf
42 páginas
Resumen para Examen Mates I.pdf
6 páginas
Exámenes - ejercicios-examenes-resueltos-mates-1.pdf
pdf
22 páginas
239
2
Exámenes - FalsoFinal1920.pdf
7 páginas
628
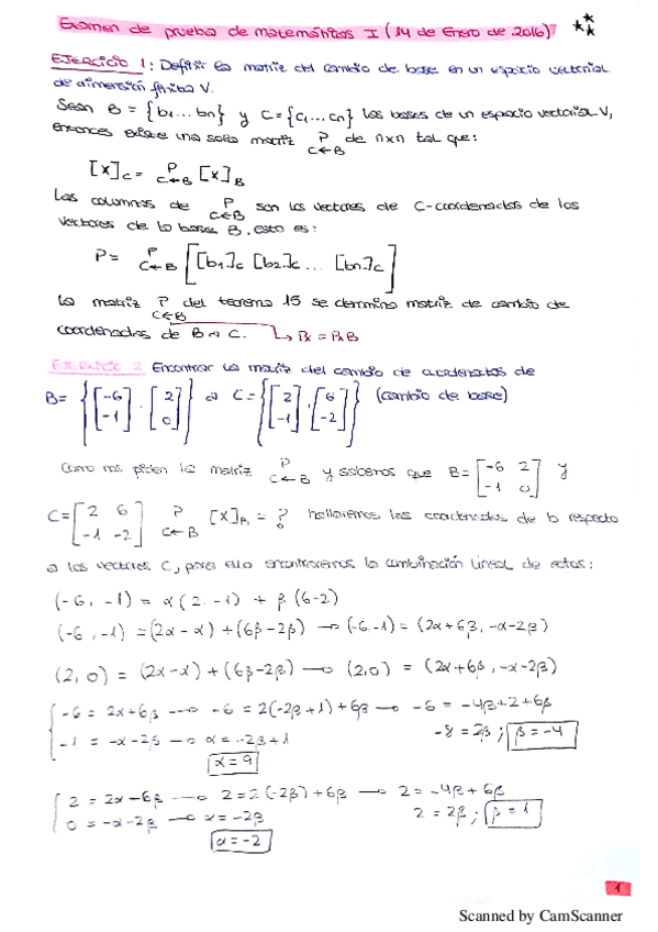
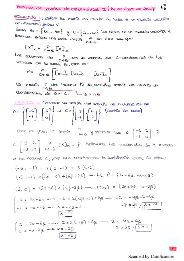
Exámenes - examen de prueba2016.JPG
jpg
0
Apuntes - matrices[1].pdf
23 páginas
56
Apuntes - MICivilpruebasolucion1314.pdf
10 páginas
147
Apuntes - 3-espacio_vectorial.pdf
26 páginas
51
Apuntes - 1-numeros_complejos[1].pdf
19 páginas
82
1
Apuntes - Tema4 espacios vectoriales.pdf
24 páginas
76
Exámenes - examenes resueltos parcial 2.pdf
66 páginas
71
Apuntes - Tema3 Matrices determinantes y sistemas de ecuaciones.pdf
64
Exámenes - GIE- septiembrre.pdf
60
Exámenes - Examenes resueltos Mates I.pdf
84
Apuntes - 4-ortogonalidad.pdf
21 páginas
53
Apuntes - Mates-1-tema5-espacio-vectorial.pdf
27 páginas
120
Apuntes - Tema1 conicas y cuadricas.pdf
29 páginas
68
Apuntes - 5-autovalores_autovectores_conicas.pdf
18 páginas
49
Apuntes - Tema2 complejos.pdf
17 páginas
55
Exámenes - miquimicalsolucionprimeraconvoc1314.pdf
Apuntes - Cuadricas-20191017T201912Z-001.zip
zip
4