Portada
Asignatura
Grado en Ingeniería en Electrónica y Automática Industrial (UEX)
Matemáticas I
Fecha de subida
03 ene 2025
Categoría
apuntes
Etiquetas
Apuntes - Formulario-2Parte-Calculo.pdf
pdf
4 páginas
26
1
Apuntes - mates I.pdf
6 páginas
19
Apuntes - ResumenTema6.2.pdf
11 páginas
5
0
Exámenes - ExMatI271014.pdf
5 páginas
27
Apuntes - ResumenTema7.1.pdf
10 páginas
8
Exámenes - Mat-Ifinalenero1516-1.pdf
1 página
21
Apuntes - Resumen-del-Resumen-Tema-6.1.pdf
13
Apuntes - TEMA2.-Aplicaciones-lineales-y-espacios-vectoriales.pdf
14 páginas
7
Apuntes - TEMA3.-Aproximacion-en-espacios-euclideos.pdf
9 páginas
2
Apuntes - ResumenTema6.1.pdf
Exámenes - ExMatI151214.pdf
22
Exámenes - Examen_de_febrero_2010.pdf
18
Apuntes - EjemplosResueltosdeExtremos.pdf
3 páginas
10
Apuntes - TEMA4-.-Diagonalizacion-de-matrices.pdf
16 páginas
Apuntes - EjemplosExtremosCondicionados.pdf
35 páginas
Apuntes - Tema1.-Teoria.pdf
17 páginas
Apuntes - Tema4.-Resumen-y-ejemplos.pdf
Apuntes - ResumenTema9-Extremos.pdf
4
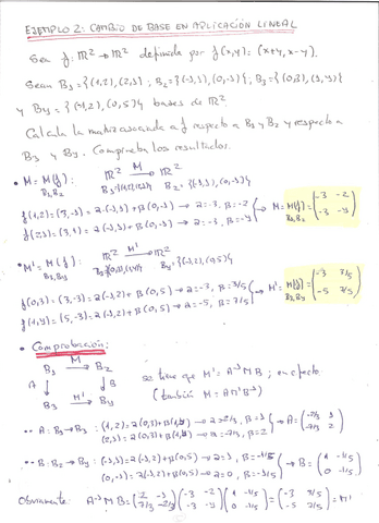
Apuntes - Tema2.-Ejemplo2CambiodeBaseAplicLin.pdf
Apuntes - Tema2.-Ejemplo1CambiodeBaseEspVect.pdf