JeanOrdz

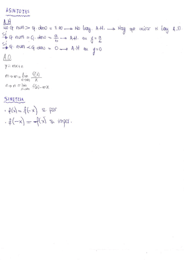
Simetria-Asintotas-horizontales-y-Asintotas-oblicuas-Formulas-Matematicas-I.pdf

Miniatura del documento Simetria-Asintotas-horizontales-y-Asintotas-oblicuas-Formulas-Matematicas-I.pdf

Portada

Miniatura del documento Simetria-Asintotas-horizontales-y-Asintotas-oblicuas-Formulas-Matematicas-I.pdf

Fecha de subida

22 ene 2023

Categoría

apuntes

Etiquetas

category

apuntes

content_copy

Archivos recomendados