quimilove
solucion ejercicios de los temas
Tema8ejercicios-soluciones.pdf
13 páginas
Tema3ejercicios-soluciones.pdf
Tema6ejercicios-soluciones.pdf
Tema5ejercicios-soluciones.pdf
5 páginas
Tema7ejercicios-soluciones.pdf
Tema2ejercicios-soluciones.pdf
19 páginas
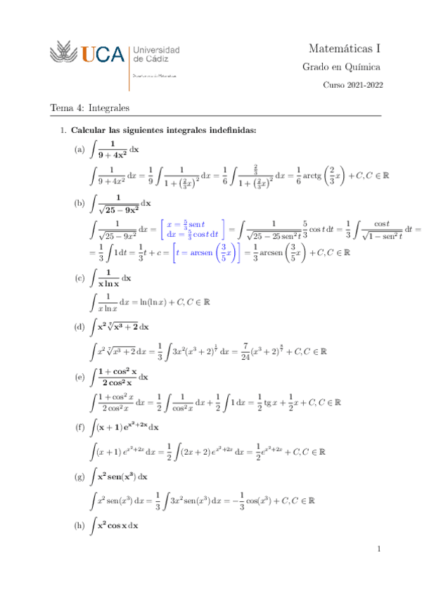
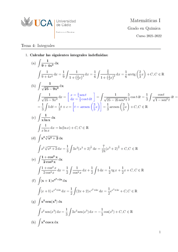
Tema4ejercicios-soluciones.pdf
9 páginas
Exámenes - EXAMEN-DE-MATEMATICAS-I-febrero.pdf
pdf
1 página
304
0
Exámenes - Soluciones_Examenfinal_2_2_2016.pdf
10 páginas
61
1
Exámenes - Solucion_examen_sept_MatI_GQuim_16_9_2016.pdf
8 páginas
60
Exámenes - solución junio 2016.pdf
11 páginas
48
Exámenes - Examen-Mates-1-Septiembre-2022.pdf
2 páginas
91
Exámenes - Matematicas-I-enero.pdf
80
4
Exámenes - Examenes-de-cursos-anteriores-20180213.zip
zip
27
Apuntes - Entregable-1.pdf
17 páginas
70
Exámenes - parcial 2 mates I resuelto.pdf
29
Apuntes - Entregable-2.pdf
109
2
Apuntes - Tema 2.pdf
52 páginas
32
Apuntes - Tema4ejercicios-soluciones.pdf
40
Exámenes - Examen Matemáticas I FEBRERO 2014.pdf
37
Apuntes - Tema3ejercicios-soluciones.pdf
Apuntes - Tema8ejercicios-soluciones.pdf
49
Ejercicios - Maxima-1.wxm
wxm
5
Apuntes - Tema5ejercicios-soluciones.pdf
42
Apuntes - Tema2ejercicios-soluciones.pdf
30
Apuntes - Practica-3.pdf
34
Exámenes - parcial mates I.pdf