pbs-resueltos-continuidad-1.pdf

chemicalEnginer

Todo los ejercicios resueltos

9 archivos·

pbs-resueltos-Taylor-1.pdf

9 páginas

pbs-resueltos-int-IV.pdf

9 páginas

pbs-resueltos-continuidad-1.pdf

16 páginas

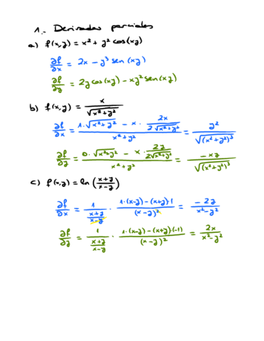
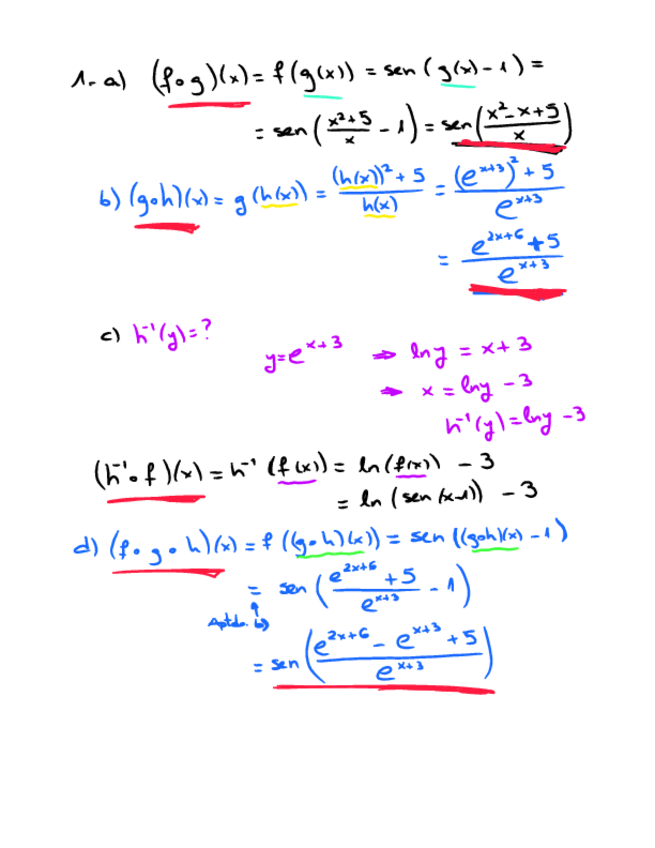
pbs-resueltos-deriv.pdf

16 páginas

Complejos-pbs-resueltos-1.pdf

14 páginas

pbs-resueltos-int-II.pdf

5 páginas

pbs-resueltos-int-III.pdf

5 páginas

pbs-resueltos-lim2var.pdf

8 páginas

pbs-resueltos-Dif2var.pdf

4 páginas

content_copy

Archivos recomendados