Matemáticas I

chevron_left
chevron_right
Todo
Apuntes
Ejercicios
Exámenes
Prácticas
publication
chevron_left
chevron_right

He publicado nuevos ejercicios de 1º Matemáticas I: explicacion.pages

Miniatura no disponible
word

He publicado nuevos examenes de 1º Matemáticas I: Examenes-Final-24.pdf

5 páginas

He publicado nuevos examenes de 1º Matemáticas I: Modelos-Parciales-y-Final-Matematicas-I.pdf

21 páginas
Anónimo

@Anónimo

He publicado nuevos apuntes de 1º Matemáticas I: Tema-1-Matematicas-I-teoria.pdf

14 páginas

He publicado nuevos apuntes de 1º Matemáticas I: Tema-3.pdf

4 páginas

He publicado nuevos apuntes de 1º Matemáticas I: Tema-2.pdf

10 páginas
Anónimo

@Anónimo

practicas

-

Practica Pruebas Continua

He publicado nuevos practicas de 1º Matemáticas I: Practica Pruebas Continua

Respuesta-Prueba-Continua-1.pdf
Respuesta-Prueba-Continua-2.pdf
Respuesta-Prueba-Continua-3.pdf
Anónimo

@Anónimo

apuntes

-

Exámenes Resueltos

He publicado nuevos apuntes de 1º Matemáticas I: Exámenes Resueltos

Examen-2018-Resuelto.pdf
Examen-2020-.2-Resuelto.pdf
Examen-2020-Resuelto.pdf
Examen-2021-.2-Resuelto.pdf
Examen-2021-Resuelto.pdf

He publicado nuevos apuntes de 1º Matemáticas I: Mates-Apuntes-01.pdf

13 páginas

Enunciados del examen y soluciones

6 páginas

Enunciados del examen y soluciones

7 páginas

Enunciados del examen y soluciones

17 páginas

Enunciados del examen y soluciones

15 páginas

He publicado nuevos apuntes de 1º Matemáticas I: Ejercicios-tema-12-Matematicas-I.pdf

12 páginas

He publicado nuevos apuntes de 1º Matemáticas I: Ejercicios-tema-11-Matematicas-I.pdf

10 páginas

He publicado nuevos apuntes de 1º Matemáticas I: Ejercicios-tema-78910-Matematicas-I.pdf

18 páginas

He publicado nuevos apuntes de 1º Matemáticas I: Ejercicios-tema-6-Matematicas-I.pdf

5 páginas

He publicado nuevos apuntes de 1º Matemáticas I: Ejercicios-tema-5-Matematicas-I.pdf

6 páginas

He publicado nuevos apuntes de 1º Matemáticas I: Ejercicios-tema-4-Matematicas-I.pdf

2 páginas

He publicado nuevos apuntes de 1º Matemáticas I: Ejercicios-tema-3-Matematicas-I.pdf

3 páginas

He publicado nuevos apuntes de 1º Matemáticas I: Ejercicios-tema-2-Matematicas-I.pdf

11 páginas

He publicado nuevos apuntes de 1º Matemáticas I: Ejercicios-tema-1-Matematicas-I.pdf

8 páginas

apuntes

-

ESQUEMAS, EJERCICIOS Y FORMULAS

He publicado nuevos apuntes de 1º Matemáticas I: ESQUEMAS, EJERCICIOS Y FORMULAS

TEMA-1.pdf
TEMA-2.pdf
TEMA-4.pdf
TEMA-5.pdf
TEMA-6.pdf
TEMA-7.pdf

He publicado nuevos apuntes de 1º Matemáticas I: TODAS-LAS-FORMULAS.pdf

11 páginas

apuntes

-

Coleccion de examenes

He publicado nuevos apuntes de 1º Matemáticas I: Coleccion de examenes

Conocimientos-previosTabla-de-graficas.pdf
Tarea-3-3.pdf
Tarea-1.pdf
Tarea-2-5.pdf

He publicado nuevos apuntes de 1º Matemáticas I: TAREA-3-MATE-I.pdf

3 páginas

He publicado nuevos apuntes de 1º Matemáticas I: TAREA-2-MATE-I.pdf

2 páginas

He publicado nuevos apuntes de 1º Matemáticas I: TAREA-1-MATE-I.pdf

2 páginas

He publicado nuevos examenes de 1º Matemáticas I: Examen mates enero 2022.pdf

1 página

ejercicios

-

EXERCICIS CLASSE COMPLET 2023 2024

He publicado nuevos ejercicios de 1º Matemáticas I: EXERCICIS CLASSE COMPLET 2023 2024

TEMA-3-I-4-MATES-CALCUL-DIFERENCIAL.pdf
TEMA-5-MATES-CALCUL-INTEGRAL.pdf
TEMA-1-MATES-NOCIONS-BASIQUES-DALGEBRA.pdf
TEMA-2-MATES-LIMITS-I-CONTINUITAT.pdf

He publicado nuevos examenes de 1º Matemáticas I: Examen-Primera-Convocatoria-2024.pdf

1 página

He publicado nuevos examenes de 1º Matemáticas I: PARCIALES-2023.pdf

10 páginas

He publicado nuevos apuntes de 1º Matemáticas I: examen-mates1.pdf

2 páginas

He publicado nuevos apuntes de 1º Matemáticas I: MODELO-DE-EXAMEN-2017.pdf

1 página

He publicado nuevos apuntes de 1º Matemáticas I: Ex-2020.1.pdf

1 página

He publicado nuevos apuntes de 1º Matemáticas I: Tabla-derivadas.pdf

2 páginas

He publicado nuevos examenes de 1º Matemáticas I: Examenes-resueltos.pdf

30 páginas

He publicado nuevos practicas de 1º Matemáticas I: Todas-practicas-hechas-en-clase.pdf

52 páginas

He publicado nuevos examenes de 1º Matemáticas I: Examen-2.-Mates-1.pdf

2 páginas

He publicado nuevos examenes de 1º Matemáticas I: Examenes-resueltos.pdf

48 páginas

He publicado nuevos ejercicios de 1º Matemáticas I: Soluciones-de-ejercicios-de-todo-el-tema.pdf

44 páginas

He publicado nuevos ejercicios de 1º Matemáticas I: Ejercicios-de-todos-los-temas.pdf

37 páginas

He publicado nuevos apuntes de 1º Matemáticas I: Apuntes-clase-tema-2-II.pdf

26 páginas

He publicado nuevos apuntes de 1º Matemáticas I: Apuntes-clase-tema-2-I.pdf

1 página

He publicado nuevos apuntes de 1º Matemáticas I: Apuntes-clase-tema-1-II.pdf

10 páginas

He publicado nuevos apuntes de 1º Matemáticas I: Apuntes-clase-tema-1-I.pdf

11 páginas

He publicado nuevos ejercicios de 1º Matemáticas I: tema-1-ejercicios.pdf

45 páginas

He publicado nuevos examenes de 1º Matemáticas I: EXAMEN-MATES-I-2018.pdf

3 páginas

He publicado nuevos apuntes de 1º Matemáticas I: TEMA-3-DERIVADAS-RESUMEN.pdf

4 páginas
Anónimo

@Anónimo

He publicado nuevos examenes de 1º Matemáticas I: examen-mates-1-.pdf

2 páginas

He publicado nuevos apuntes de 1º Matemáticas I: Primera-Convocatoria-Mate-GIB-Mod-B-2018-19.pdf

14 páginas

He publicado nuevos apuntes de 1º Matemáticas I: T3.pdf

pdf

He publicado nuevos apuntes de 1º Matemáticas I: T2.pdf

pdf

He publicado nuevos apuntes de 1º Matemáticas I: T1.pdf

pdf

ejercicios

-

Exercicis resolts

He publicado nuevos ejercicios de 1º Matemáticas I: Exercicis resolts

Soluciones-del-tema-4.pdf
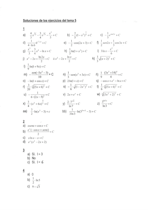
Soluciones-Tema-5.pdf
exerc-17topic-1.pdf
Solucions-TEMA-3.pdf
Solejt2-2.pdf
sol-edo.pdf

He publicado nuevos apuntes de 1º Matemáticas I: TEMA-5.pdf

3 páginas

He publicado nuevos apuntes de 1º Matemáticas I: TEMA-4.pdf

5 páginas

He publicado nuevos apuntes de 1º Matemáticas I: TEMA-3.pdf

3 páginas

He publicado nuevos apuntes de 1º Matemáticas I: TEMA-2.pdf

6 páginas

He publicado nuevos apuntes de 1º Matemáticas I: TEMA-1.pdf

4 páginas