Todo
Apuntes
Exámenes
publication
chevron_left
chevron_right

apuntes

-

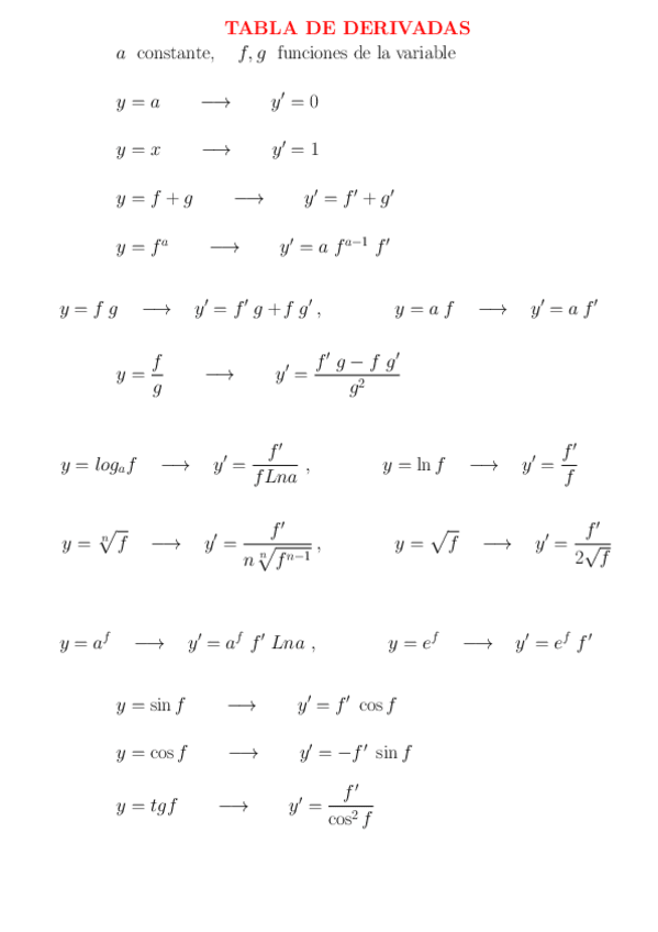
EXPLICACIÓN DERIVADAS Y PRIMITIVAS

He publicado nuevos apuntes de 1º Matemáticas I: EXPLICACIÓN DERIVADAS Y PRIMITIVAS

Calculo-primitivas.pdf
Derivadas.pdf

Temario completo matemáticas 1, separado por temas, explicados junto con la teoría, ejercicios resueltos y ejemplos de clase. Exámenes resueltos y un resumen de los que entra en parciales y final. Además de hojas de fórmulas y esquemas para memorizar.

177 páginas

He publicado nuevos examenes de 1º Matemáticas I: Examen-2018-19.pdf

1 página

He publicado nuevos examenes de 1º Matemáticas I: Examen-2017-18.pdf

1 página

He publicado nuevos examenes de 1º Matemáticas I: Examen-2015-16.pdf

1 página

He publicado nuevos apuntes de 1º Matemáticas I: MATE-resumen.pdf

2 páginas

He publicado nuevos apuntes de 1º Matemáticas I: MATE-definiciones.pdf

2 páginas

apuntes

-

apuntes por temas

He publicado nuevos apuntes de 1º Matemáticas I: apuntes por temas

MATE-1-Tema-5.pdf
MATE-1-Tema-4.pdf
MATE-1-Tema-1.pdf
MATE-1-Tema-2.pdf
MATE-1-Tema-3.pdf

He publicado nuevos apuntes de 1º Matemáticas I: TEMA-5.pdf

3 páginas

He publicado nuevos apuntes de 1º Matemáticas I: TEMA-4.pdf

5 páginas

He publicado nuevos apuntes de 1º Matemáticas I: TEMA-3.pdf

3 páginas

He publicado nuevos apuntes de 1º Matemáticas I: TEMA-1.pdf

4 páginas

He publicado nuevos apuntes de 1º Matemáticas I: TEMA-2.pdf

6 páginas
Anónimo

@Anónimo

apuntes

-

apuntes temario mates I

He publicado nuevos apuntes de 1º Matemáticas I: apuntes temario mates I

Tema-2-part2-1.pdf
Tema-1-1.pdf
Tema-4-1.pdf
Tema-3-2.pdf
Tema-2-part1-1.pdf
Tema-5-1.pdf
Anónimo

@Anónimo

apuntes

-

apuntes temario mates I

He publicado nuevos apuntes de 1º Matemáticas I: apuntes temario mates I

Tema-1-1.pdf
Tema-2-part2-1.pdf
Tema-2-part1-1.pdf
Tema-5-1.pdf
Derivades.pdf
Tema-4-1.pdf

apuntes

-

TEMA 5

He publicado nuevos apuntes de 1º Matemáticas I: TEMA 5

apuntes-tema-5.pdf

apuntes

-

TEMA 3 (apuntes y examen)

He publicado nuevos apuntes de 1º Matemáticas I: TEMA 3 (apuntes y examen)

Examen-tema-3.pdf
apuntes-tema-3.pdf

apuntes

-

TEMA 4 (apuntes y examen)

He publicado nuevos apuntes de 1º Matemáticas I: TEMA 4 (apuntes y examen)

Apuntes-tema-4.pdf

apuntes

-

TEMA 2 (apuntes y examen)

He publicado nuevos apuntes de 1º Matemáticas I: TEMA 2 (apuntes y examen)

Apuntes-tema-2.pdf
Examen-tema-2.pdf

apuntes

-

TEMA 1 (apuntes y examen)

He publicado nuevos apuntes de 1º Matemáticas I: TEMA 1 (apuntes y examen)

Apuntes-tema-1.pdf
Examen-tema-1.pdf
Anónimo

@Anónimo

examenes

-

Examenes mates

He publicado nuevos examenes de 1º Matemáticas I: Examenes mates

examen-2016-2017-1.pdf
examen-2012-2013-2.pdf
examen-2013-2014-2.pdf
examen-2012-2013-1.pdf
examen-2013-2014-1.pdf
examen-2015-2016-1.pdf

apuntes

-

Matemáticas I

He publicado nuevos apuntes de 1º Matemáticas I: Matemáticas I

tema-3.pdf
Tema-6-introd-opt.pdf
Tema-5.pdf
Tema4.pdf
tema-2-parte1.pdf
¡Estás al día!

¡Estás al día!

Has visto todos los archivos