Todo
Apuntes
Ejercicios
Exámenes
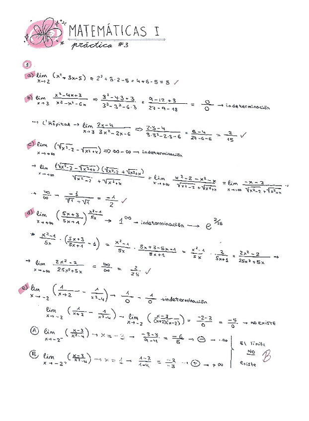
Prácticas
Test
chevron_left
chevron_right

Todas las fórmulas trigonométricas y algunos ejemplos de integrales trigonométricas.

1 página

Están todos los comandos usados en las prácticas y pequeños ejemplos de algunos, desde los más básicos hasta los más importantes

1 página

He publicado nuevos apuntes de 1º Matemáticas I: Ecuaciones-diferenciales-Parte-I.pdf

6 páginas

Resumen métodos integración numérica. Práctica evaluable

2 páginas

apuntes

-

Teoría matemáticas I

He publicado nuevos apuntes de 1º Matemáticas I: Teoría matemáticas I

Funciones.pdf
Limites.pdf

He publicado nuevos practicas de 1º Matemáticas I: Practica-1-mates.pdf

2 páginas

He publicado nuevos practicas de 1º Matemáticas I: Wolfram-Mathematica-practicas-resueltas.pdf

17 páginas

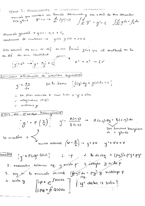
He publicado nuevos apuntes de 1º Matemáticas I: tema-8-diferenciales-ordinarias-en-biologia-y-medio-ambiente.pdf

11 páginas

He publicado nuevos apuntes de 1º Matemáticas I: Tema-integrales-explicacion.pdf

3 páginas

He publicado nuevos ejercicios de 1º Matemáticas I: T.4-ejercicios-resueltos-dif-bloques.pdf

16 páginas

He publicado nuevos apuntes de 1º Matemáticas I: tema-1-mates-apuntes.pdf

4 páginas

He publicado nuevos ejercicios de 1º Matemáticas I: T.3-ejers-deriv.pdf

2 páginas

He publicado nuevos apuntes de 1º Matemáticas I: T.3-apuntes-de-10.pdf

20 páginas

He publicado nuevos apuntes de 1º Matemáticas I: T.2-apuntes-de-10.pdf

18 páginas

Optimización explicada paso por paso

2 páginas

He publicado nuevos ejercicios de 1º Matemáticas I: problemas-tipo-de-diferenciales-como-saber-q-te-piden.pdf

3 páginas

polinomio de Taylor + error + ejers

6 páginas

He publicado nuevos practicas de 1º Matemáticas I: PRACTICA-10-Y-9-aplicacion-integral.pdf

11 páginas

He publicado nuevos ejercicios de 1º Matemáticas I: ejers-integrales.pdf

8 páginas

He publicado nuevos ejercicios de 1º Matemáticas I: ejercicios-diferenciales.pdf

5 páginas

Diferenciales paso por paso

4 páginas

apuntes

-

MATEMATICAS I (1r cuatri)

He publicado unos apuntes sobre Matemáticas I

DERIVADAS.pdf
FUNCIONES.pdf
GEOMETRIA4.pdf
INTEGRALES.pdf
OPTIMIZACION.pdf
TEOREMAS.pdf

He publicado nuevos examenes de 1º Matemáticas I: Examen segunda convocatoria junio 2025 Mates 1.png

Imagen

He publicado nuevos examenes de 1º Matemáticas I: Examen primera convocatoria enero 2025 Mates 1.png

Imagen

He publicado nuevos apuntes de 1º Matemáticas I: trigonometria.pdf

1 página

practicas

-

Prácticas evaluables(2023-2024)

He publicado nuevos practicas de 1º Matemáticas I: Prácticas evaluables(2023-2024)

Practica evaluable-final (lunes A).pdf
Practica evaluable-final (miercoles B).pdf
Práctica evaluable 1 (martes A).pdf
Práctica evaluable 1 (martes B).pdf.pdf
Lunes-A-solucion-de-la-primera-pregunta.pdf

apuntes

-

Apuntes

He publicado nuevos apuntes de 1º Matemáticas I: Apuntes

tema4.pdf
Tema-5.pdf
Tema-6.pdf
Tema-7.pdf
Tema-4-edited.pdf
Tema-8.pdf

practicas

-

Practicas

He publicado nuevos practicas de 1º Matemáticas I: Practicas

Practica-8.pdf
Practica-9.pdf
Practica-7.pdf

ejercicios

-

Ejercicios temas mates

He publicado nuevos ejercicios de 1º Matemáticas I: Ejercicios temas mates

Ejercicios-tema-1.pdf
Ejercicios-tema-2.pdf
Ejercicios-tema-3.pdf
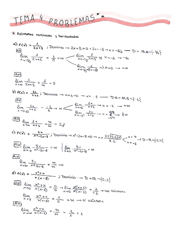
Ejercicios-tema-4.pdf
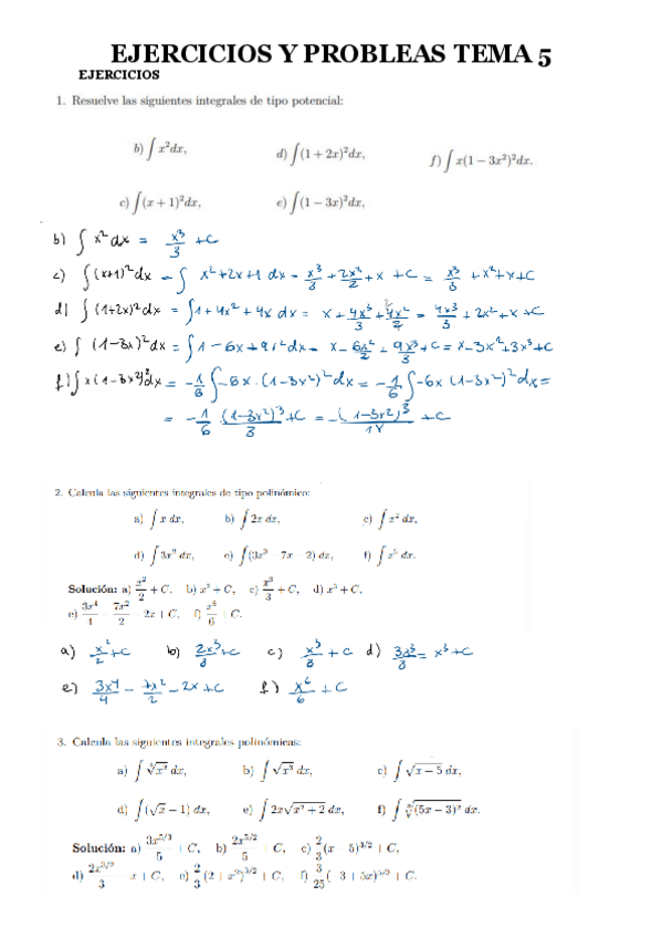
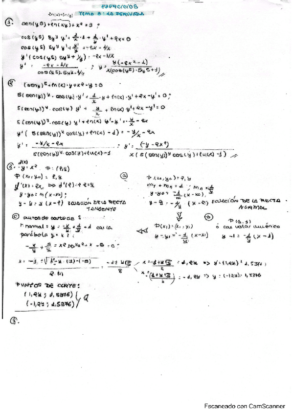
Ejercicios-tema-5.pdf
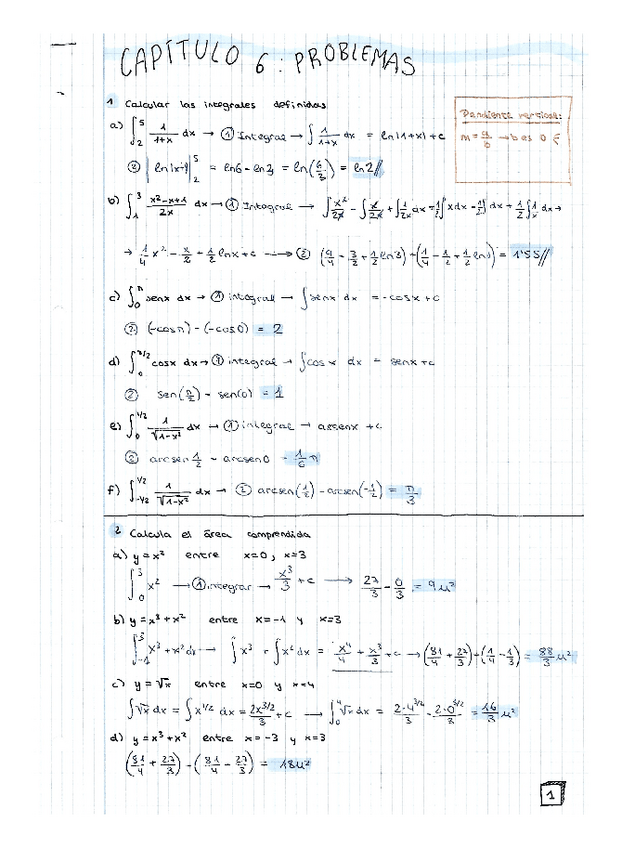
Ejercicios-tema-6.pdf

apuntes

-

Apuntes Mates I

He publicado nuevos apuntes de 1º Matemáticas I: Apuntes Mates I

TEMA-1.pdf
TEMA-2.pdf
TEMA-3.pdf
TEMA-4.pdf
TEMA-5.pdf
TEMA-6.pdf

He publicado nuevos apuntes de 1º Matemáticas I: Matematicas-Iresumennmm.pdf

2 páginas

He publicado nuevos apuntes de 1º Matemáticas I: Matematicas-Iinformaticanmm.pdf

28 páginas

He publicado nuevos apuntes de 1º Matemáticas I: FORMULAS-Bien.pdf

4 páginas

practicas

-

Prácticas

He publicado nuevos practicas de 1º Matemáticas I: Prácticas

Practica-1.-Wolfram.pdf
Practica-2.-Wolfram.pdf
Practica-3.-Wolfram.pdf
Practica-4.-Wolfram.pdf
Practica-5.-Wolfram.pdf
Practica-6.-Wolfram.pdf

He publicado nuevos apuntes de 1º Matemáticas I: Resumen-Temario.pdf

15 páginas

He publicado nuevos practicas de 1º Matemáticas I: practica-10-areas-y-EDO.pdf

6 páginas

He publicado nuevos examenes de 1º Matemáticas I: Solucion-EDO-ciclica-examen-enero-2024.pdf

1 página

He publicado nuevos apuntes de 1º Matemáticas I: PROBLEMAS-solucion-al-pdf-del-aula-virtualT.8.pdf

15 páginas

He publicado nuevos apuntes de 1º Matemáticas I: DEMOSTRACIONES-para-examen.pdf

4 páginas

He publicado nuevos apuntes de 1º Matemáticas I: Resumenes-y-demostraciones.pdf

8 páginas

ejercicios

-

Ejercicios y problemas

He publicado nuevos ejercicios de 1º Matemáticas I: Ejercicios y problemas

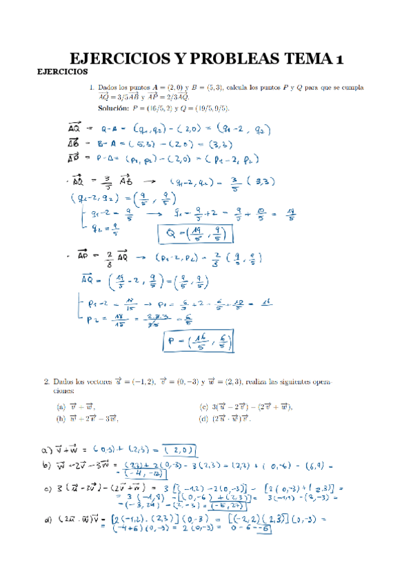
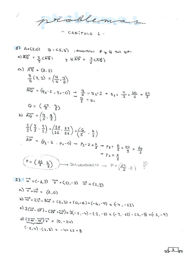
Ejercicios-y-problemas-Tema-1.pdf
Ejercicios-y-problemas-Tema-2.pdf
Ejercicios-y-problemas-Tema-3.pdf
Ejercicios-y-problemas-Tema-4.pdf
Ejercicios-y-problemas-Tema-5.pdf
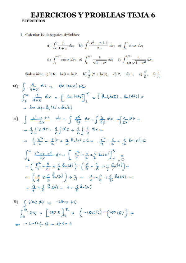
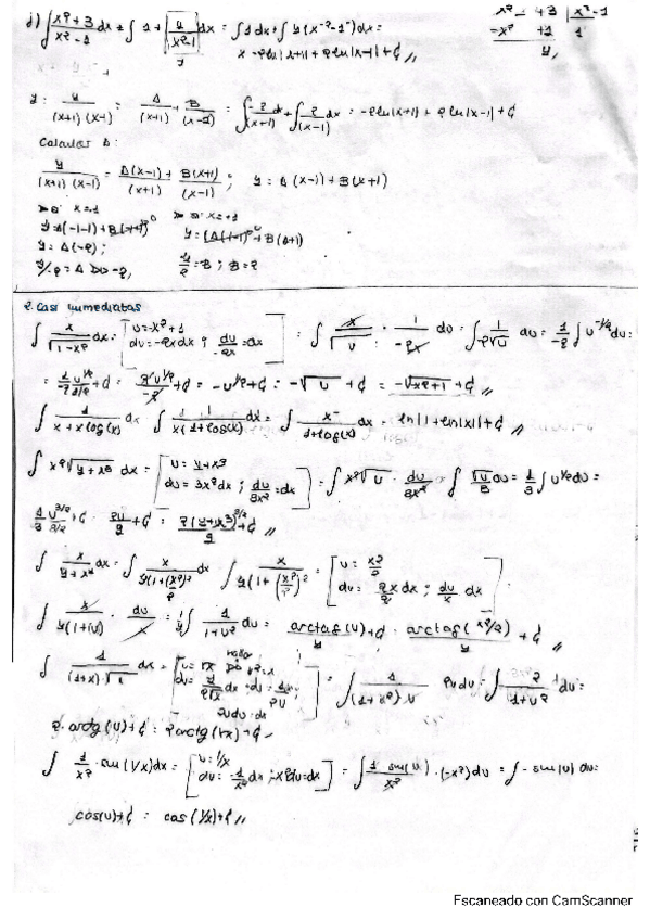
Ejercicios-y-problemas-Tema-6.pdf

He publicado nuevos apuntes de 1º Matemáticas I: Temario-completo-Con-ejemplos.pdf

30 páginas

apuntes

-

Apuntes Temario Matemáticas I

He publicado nuevos apuntes de 1º Matemáticas I: Apuntes Temario Matemáticas I

Mates-Apuntes-Tema-2.pdf
Mates-Apuntes-Tema-1.pdf
Mates-Apuntes-Tema-4.pdf
Mates-Apuntes-Tema-3.pdf
Mates-Apuntes-Tema-6.pdf
Mates-Apuntes-Tema-5.pdf

He publicado nuevos practicas de 1º Matemáticas I: Formulario-Practicas-MATES I.pdf

1 página

He publicado nuevos apuntes de 1º Matemáticas I: MATEMATICAS-LAB.pdf

8 páginas
Anónimo

@Anónimo

examenes

-

EXAMEN ENERO 2023 Y RESUELTO POR EL PROFESOR

He publicado nuevos examenes de 1º Matemáticas I: EXAMEN ENERO 2023 Y RESUELTO POR EL PROFESOR

EXAMEN-ENERO-2023.pdf
EXAMEN-ENERO-2023-RESUELTO-POR-EL-PROFESOR.pdf
Anónimo

@Anónimo

He publicado nuevos apuntes de 1º Matemáticas I: Resumen-mate-1-cutri.pdf

8 páginas

apuntes

-

Mates I

He publicado nuevos apuntes de 1º Matemáticas I: Mates I

Teoremas-Y-Formulas.pdf
Metodos-Numericos.pdf
Tipos-de-EDOs-y-ejemplos.pdf

He publicado nuevos apuntes de 1º Matemáticas I: examenes-otros-anos-paso-a-paso.pdf

25 páginas

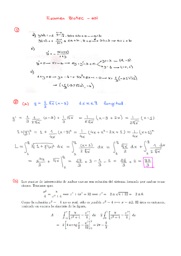
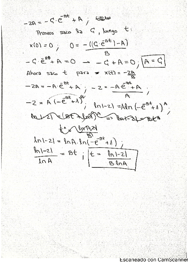
He publicado nuevos examenes de 1º Matemáticas I: Mate-biotec-enero-22.pdf

13 páginas

He publicado nuevos apuntes de 1º Matemáticas I: INTEGRALES-RESUELTAS-PASOS.pdf

23 páginas

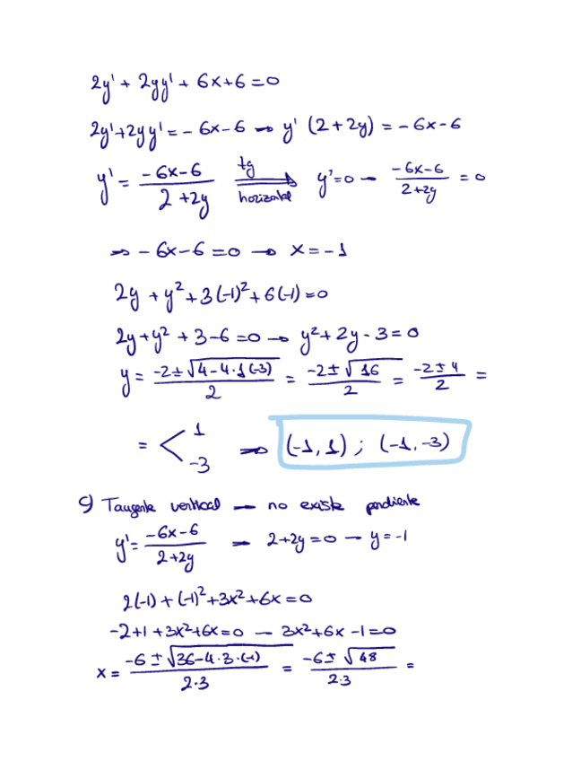
He publicado nuevos apuntes de 1º Matemáticas I: PROBLEMAS-DE-ECUACIONES-DIFERENCIALES.pdf

19 páginas

He publicado nuevos apuntes de 1º Matemáticas I: FORMULARIOEDOS.pdf

2 páginas

He publicado nuevos apuntes de 1º Matemáticas I: RESUMEN-Ecuaciones-Diferenciales-y-PROBLEMAS.pdf

9 páginas

He publicado nuevos apuntes de 1º Matemáticas I: LIMITEST2CALCULOI.pdf

10 páginas

apuntes

-

Mate I qm

He publicado nuevos apuntes de 1º Matemáticas I: Mate I qm

wMate-I-Tema-1-qm.pdf
wMate-I-Tema-3-qm.pdf
wMate-I-Tema-4-qm.pdf
wMate-I-Tema-7-qm.pdf
Anónimo

@Anónimo

test

-

Examen mates 01.2022

He publicado nuevos test de 1º Matemáticas I: Examen mates 01.2022

Examen-mates-01.pdf
Sol-examen-mates-2022.pdf

ejercicios

-

ejercicios de optimización resueltos

He publicado nuevos ejercicios de 1º Matemáticas I: ejercicios de optimización resueltos

ejercicios-optimizacion.pdf
ejercicios-optimizacic3b3n-11.pdf

He publicado nuevos ejercicios de 1º Matemáticas I: EjerciciosPractica2.pdf

2 páginas

He publicado nuevos apuntes de 1º Matemáticas I: Area-entre-curvas-ejemplos-resueltos.pdf

17 páginas