Boletin 2 resuelto.pdf

reral

Boletines Resueltos

16 archivos·

tambien los temas de teoría

Boletin 1.pdf

4 páginas

boletin 1 resuelto.pdf

20 páginas

Boletin 2.pdf

6 páginas

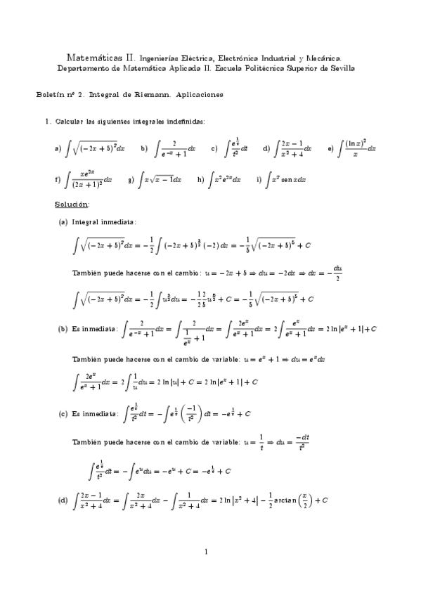
Boletin 2 resuelto.pdf

29 páginas

boletin 3.pdf

3 páginas

boletin 4.pdf

5 páginas

Boletin 4 resuelto.pdf

23 páginas

boletin 5.pdf

3 páginas

Boletin 5 resuelto.pdf

9 páginas

Boletin 6.pdf

5 páginas

Teoria tema 1.pdf

13 páginas

Teoria tema 2.pdf

20 páginas

Teoria tema 3.pdf

5 páginas

Teoria tema 4.pdf

9 páginas

Teoria tema 5.pdf

9 páginas

Teoria tema 6.pdf

16 páginas

content_copy

Archivos recomendados