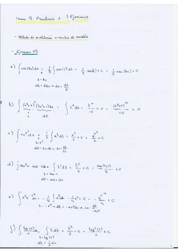
PROBLEMAS-TEMA-9.pdf

Tabin

EJ. a mano con explicación

13 archivos·

PROBLEMAS-TEMA-9.pdf

8 páginas

PROBLEMAS-TEMA-5.pdf

2 páginas

PROBLEMAS-TEMA-1.pdf

3 páginas

PROBLEMAS-TEMA-7.pdf

4 páginas

PROBLEMAS-TEMA-10.pdf

8 páginas

PROBLEMAS-TEMA-3.pdf

3 páginas

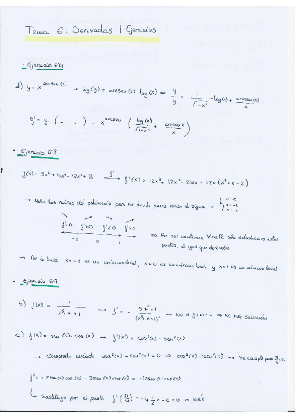
PROBLEMAS-TEMA-6.pdf

2 páginas

PROBLEMAS-TEMA-2.pdf

2 páginas

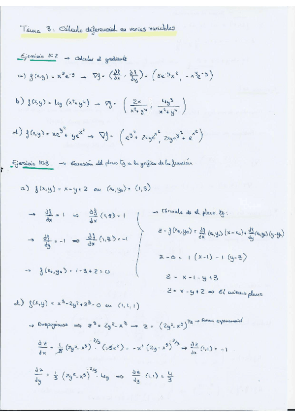
PROBLEMAS-TEMA-8.pdf

6 páginas

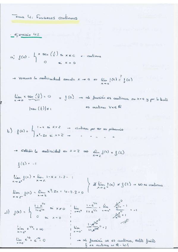
PROBLEMAS-TEMA-4.pdf

3 páginas

PROBLEMAS-TEMA-11.pdf

4 páginas

PROBLEMAS-TEMA-13.pdf

4 páginas

PROBLEMAS-TEMA-12.pdf

11 páginas

content_copy

Archivos recomendados