isvil_06

EjEstadisticaProbabilidad.pdf

Miniatura del documento EjEstadisticaProbabilidad.pdf

Portada

Miniatura del documento EjEstadisticaProbabilidad.pdf

Fecha de subida

04 dic 2024

Categoría

ejercicios

Información

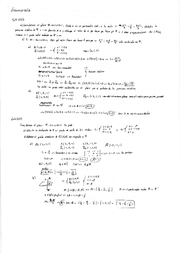
Ejercicios resueltos paso a paso de EVAU/PAU 2023-2017

Etiquetas

category

ejercicios

content_copy

Archivos recomendados