Anónimo
Ejercicios tipo examen
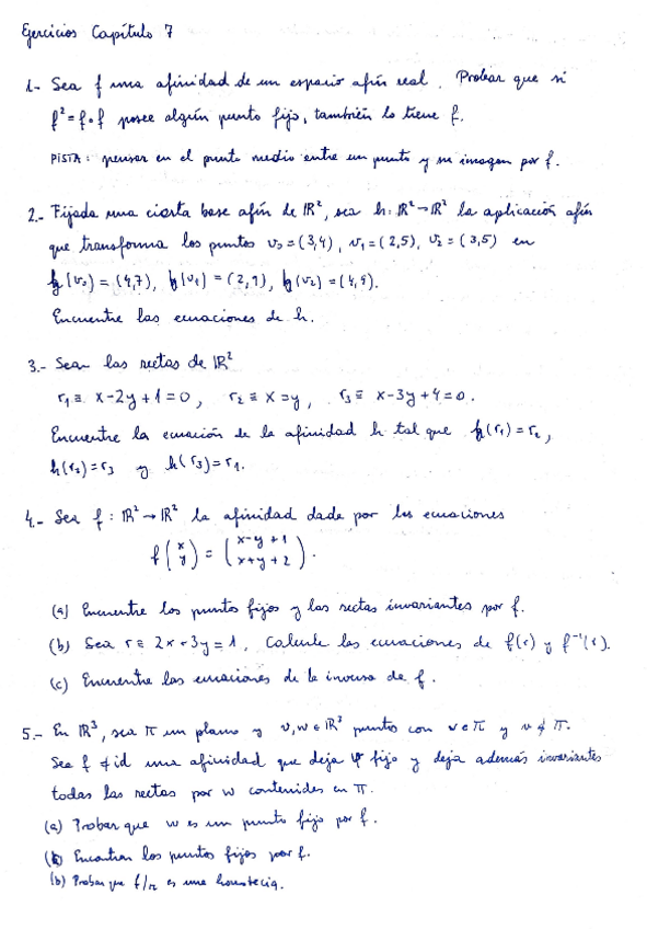
Ejercicios-Capitulo-7.pdf
11 páginas
Apuntes - T.7-Afinidades.pdf
pdf
12 páginas
19
0
Apuntes - T.6-La-estructura-afin-de-los-espacios-vectoriales-reales.pdf
18 páginas
20
Ejercicios - Ejercicios-Capitulo-6.pdf
8 páginas
13
Apuntes - T.5-Transformaciones-ortogonales.-Isometrias.pdf
14
Apuntes - T.2 Diagonalizacion de endomorfismos.pdf
27
Apuntes - Temario-1a-parte-completo.pdf
32 páginas
2
Apuntes - T.3 Espacios vectoriales eucídeos.pdf
13 páginas
18
Apuntes - T.1 Aplicaciones lineales.pdf
7 páginas
29
Exámenes - parcialresuelto.pdf
5 páginas
37
Ejercicios - Soluciones-Tema-6-Espacio-Afin.pdf
14 páginas
6
Apuntes - Tema-2-Diagonalizacion.pdf
15 páginas
5
Ejercicios - Soluciones-Tema-1-Aplicaciones-Lineales.pdf
10 páginas
Ejercicios - Ejercicios-Capitulo-7.pdf
7
Apuntes - t1234-resumenes.pdf
Apuntes - Tema-5-Transformaciones-Ortogonales.pdf
17 páginas
4
Apuntes - Tema-1-Aplicaciones-Lineales.pdf
Ejercicios - Soluciones-Tema-7-Afinidades.pdf
21 páginas
Apuntes - T.8-Isometrias-afines.pdf
6 páginas
3
Ejercicios - Soluciones-Tema-8-Isometrias-Cuaterniones.pdf
Ejercicios - Soluciones-Tema-2-Diagonalizacion.pdf
20 páginas
1