Anónimo
Portada
Asignatura
Grado en Ingeniería de Diseño Industrial y Desarrollo del Producto (UPV)
Matemáticas II
Fecha de subida
10 ene 2021
Categoría
apuntes
Etiquetas
Exámenes - PRIMERPARCIALMATEMATICASII.pdf
pdf
9 páginas
209
5
Exámenes - 2PARCIALMATII.pdf
7 páginas
164
4
Exámenes - 1parcialstatgraphicspractico.pdf
8 páginas
158
6
Exámenes - 1er-PARCIAL.pdf
4 páginas
148
1
Exámenes - SEGUNDOPARCIALMATEMATICASII.pdf
10 páginas
130
Apuntes - EJERCICIOS-PROPUESTOS-7-regresion-lineal.pdf
3 páginas
167
Exámenes - examen2statgraphicspractico.pdf
116
8
Apuntes - PROPUESTOS-6.3 (contraste hipótesis).pdf
6 páginas
150
Exámenes - 2o-PARCIAL.pdf
134
Apuntes - PROPUESTOS-6.2 (I.C.).pdf
154
2
Apuntes - PROPUESTOS-6.1 (Estimación).pdf
145
Exámenes - Resolucion-1er-ParcialfinPUBLICADA.pdf
39 páginas
114
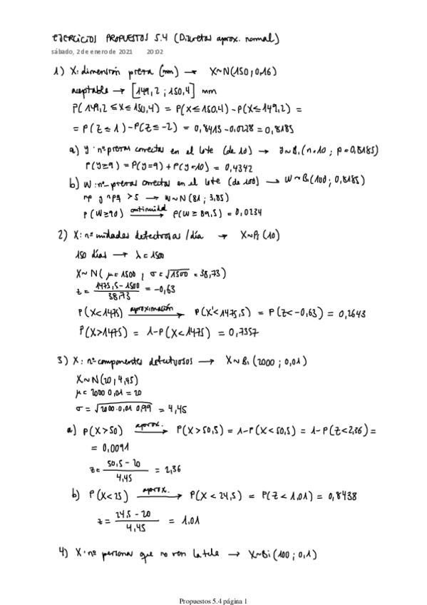
Apuntes - PROPUESTOS-5.4 (aproximación).pdf
2 páginas
132
Apuntes - PROPUESTOS-5.3 (combinación).pdf
120
Ejercicios - PROBLEMAS-PROPUESTOS-2-HECHOS.pdf
16 páginas
90
Apuntes - Resumen Statgraphics matemáticas.pdf
91
0
Apuntes - PROPUESTOS-5.2 (Normal).pdf
5 páginas
123
Apuntes - PROPUESTOS-5.1 (Exponencial).pdf
101
Apuntes - APUNTES-MATEMATICAS-PRIMER-PARCIAL.pdf
23 páginas
59
Apuntes - 07.-INTRODUCCION-A-LA-REGRESION-LINEAL-EJERCICIOS-PROPUESTOS.pdf
79