Anónimo
EJERCICIOS SELECTIVIDAD I
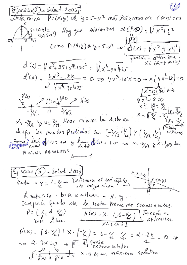
Ejerc selectividad de derivabikidad.doc
ejerc selectv asíntotas y continuidad.doc
ejercicios de optimización resueltos.pdf
8 páginas
EJERCICIOS DE REPASO.docx
Ejercicios limites II.doc
Ejercicios select álgebra.docx
Ejercicios select sobre integrales.doc
Apuntes - cristiaanglez-MATEMATICAS-BLOQUE-I.-ANALISIS.-EN-PDF.pdf
pdf
23 páginas
763
156
Apuntes - cristiaanglez-MATEMATICAS-BLOQUE-IV.-GEOMETRIA.-PDF.pdf
28 páginas
874
68
Apuntes - cristiaanglez-MATEMATICAS-BLOQUE-II.-INTEGRALES.-PDF.pdf
12 páginas
832
62
Apuntes - cristiaanglez-MATEMATICAS-BLOQUE-III.-ALGEBRA.-PDF.pdf
19 páginas
392
54
Apuntes - derivadas-y-sus-aplicaciones-1.pdf
1 página
611
13
Apuntes - integrales-1.pdf
589
10
Apuntes - Limites-1.pdf
574
Apuntes - matrices-1.pdf
470
4
Apuntes - Integrales.pdf
4 páginas
460
8
Apuntes - Geometria.pdf
14 páginas
380
12
Apuntes - integrales-2.pdf
314
3
Apuntes - derivadas-y-sus-aplicaciones-2.pdf
323
2
Apuntes - limites-2.pdf
297
Apuntes - Geometria-afin-en-el-espacio-1.pdf
279
Apuntes - derivadas-y-sus-aplicaciones-3.pdf
5
Apuntes - Funciones.pdf
6 páginas
267
7
Apuntes - derivadas-y-sus-aplicaciones-4.pdf
277
Apuntes - integrales-3.pdf
259
1
Apuntes - matrices-2.pdf
Apuntes - integrales-5.pdf
251