3-Solucio-de-Exercicis-PL2variables.pdf

Anónimo

Ejercicios solucionados

10 archivos·

3-Solucio-Integrals-quasi-immediates-i-substitucio.pdf

2 páginas

7-Solucio-EDOseparables.pdf

1 página

4-Solucions-Exercicisintegrals-definides.pdf

4 páginas

2-Solucio-ExercicisLagrange.pdf

5 páginas

3-Solucio-de-Exercicis-PL2variables.pdf

6 páginas

4-Solucio-Exercicis-PNL.pdf

4 páginas

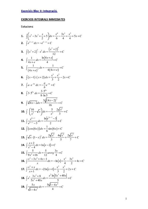
1-Solucio-exercicis-integralsimmediates.pdf

2 páginas

2-Solucio-Integralsparts.pdf

3 páginas

6-Solucio-Aplicaecointegrals.pdf

4 páginas

5-Solucio-Integracio-arees.pdf

5 páginas

content_copy

Archivos recomendados