Algebra-II.pdf

Anónimo

Ejercicios todos los temas selectividad

18 archivos·

Bachillerato de Ciencias y Tecnología

Algebra-II.pdf

1 página

Tema-5-Ejercicios-I.pdf

1 página

Tema-4-Ejercicios.pdf

1 página

Tema-5-y-6-Ejercicios-II.pdf

1 página

Algebra-I.pdf

1 página

Algebra-Selectividad.pdf

2 páginas

Temas-5-y-6-Ejercicios-I.pdf

1 página

Algebra-III.pdf

1 página

Primitivas-III.pdf

1 página

INTEGRALES-I.pdf

1 página

INTEGRALES-III.pdf

1 página

Repaso-optimizacionhoja-2.pdf

3 páginas

Repaso-optimizacionhoja-1.pdf

2 páginas

Repaso-de-LiImites-II.pdf

2 páginas

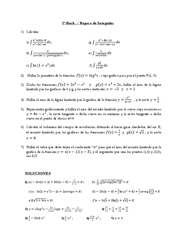
Repaso-de-Integrales.pdf

1 página

INTEGRALES-II.pdf

1 página

Primitivas-I-y-II.pdf

2 páginas

Repaso-de-LiImites.pdf

3 páginas

content_copy

Archivos recomendados