Parcial-2018.pdf

Anónimo

Exámenes

10 archivos·

Final-Junio-2017.pdf

1 página

Parcial-2018.pdf

6 páginas

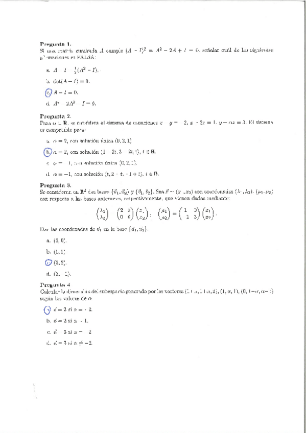
Final-Mayo-2017.pdf

1 página

Test-1a-Solucionado.pdf

3 páginas

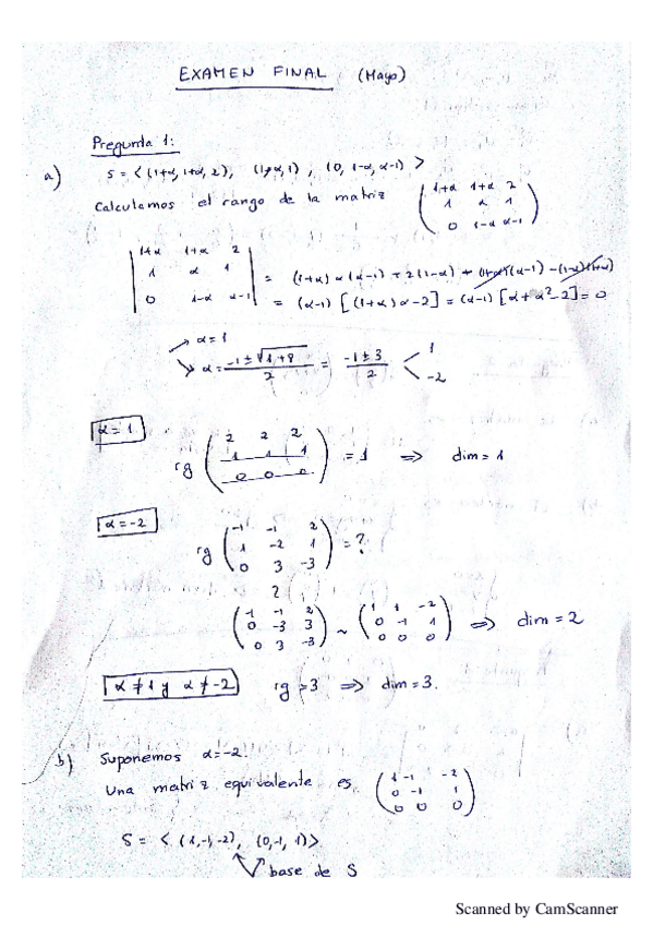
Final-Mayo-2017-Soluciones.pdf

8 páginas

Test-2-2018-Solucionado.pdf

6 páginas

Parcial-2017.pdf

5 páginas

Final-Mayo-2018-soluciones.pdf

8 páginas

Final-Mayo-2016.pdf

2 páginas

Test-1b-Solucionado.pdf

3 páginas

content_copy

Archivos recomendados