exaintegrales.pdf

ngalvez

Exámenes Resueltos

32 archivos·

FMIecasegundoparcial0910sol.pdf

4 páginas

2psol0506d.pdf

9 páginas

2psol0607d.pdf

9 páginas

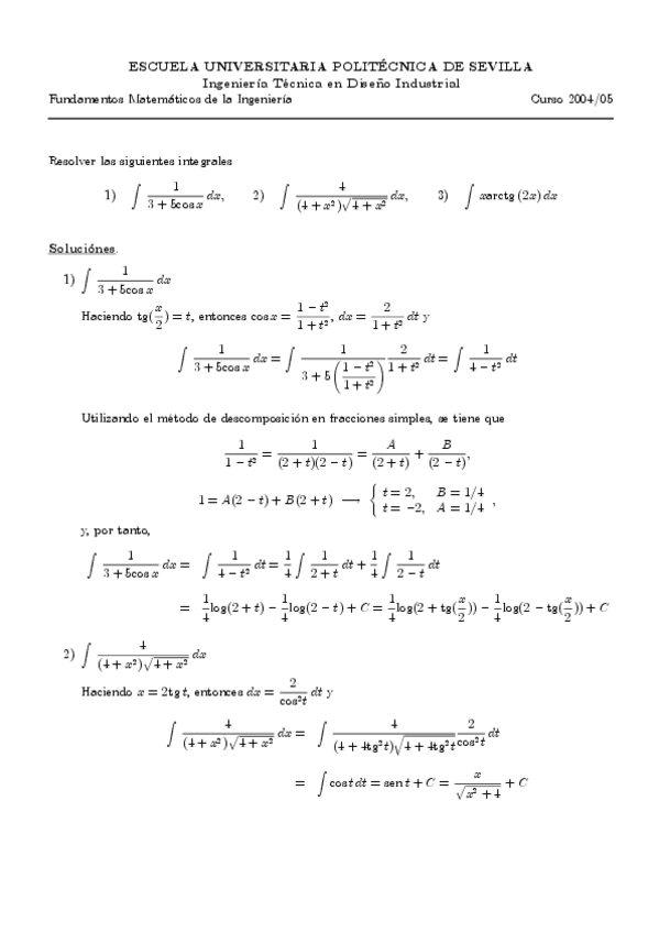
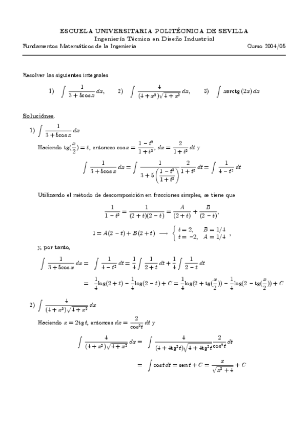
exaintegrales.pdf

2 páginas

finaljuniofmi07.pdf

11 páginas

FMIecatercerparcial0809sol.pdf

8 páginas

maIIjunioc1011sol.pdf

6 páginas

maIIp1c1011sol.pdf

4 páginas

maIIp2c1011sol.pdf

4 páginas

maIIsepc1011sol.pdf

8 páginas

segparcialdiseno0708.pdf

5 páginas

sol2P05-06.pdf

9 páginas

solucion1p.pdf

6 páginas

FMI-EEM-boletin8-11c0809.pdf

8 páginas

sol2P06-07.pdf

10 páginas

solparcial2(0405).pdf

8 páginas

solpropuesta4.pdf

9 páginas

solprueba2.pdf

2 páginas

solprueba3.pdf

2 páginas

solprueba3fmi06.pdf

2 páginas

solucion2p.pdf

8 páginas

EXA_COMPLETO_MAT_2_JUNIO2011.pdf

2 páginas

EXA_MAT_2_diciembre2011.pdf

2 páginas

EXA_MAT_2_SEPTIEMBRE_2011.pdf

2 páginas

exaprueba1_mate2.pdf

1 página

m2_ejercicdiosintegrales.pdf

3 páginas

m2_ejercicios_t4_nuevo0.pdf

7 páginas

PRUEBA_1_convocatoria_junio_2011.pdf

1 página

maIIjunioc1011sol.pdf

6 páginas

maIIp1c1011sol.pdf

4 páginas

maIIp2c1011sol.pdf

4 páginas

maIIsepc1011sol.pdf

8 páginas

content_copy

Archivos recomendados