Portada
Asignatura
Grado en Administración y Dirección de Empresas (USPCEU)
Matemáticas II
Fecha de subida
23 nov 2023
Categoría
practicas
Etiquetas
Apuntes - Ecuaciones-en-Diferencias.pdf
pdf
3 páginas
16
2
Ejercicios - Repaso-optimizacion.pdf
6
0
Prácticas - ejercicios-de-semana-santa.pdf
7
Prácticas - EJERCICIO-82-y-86-tema-2.pdf
1 página
9
Prácticas - ejercicios-tema-3.pdf
2 páginas
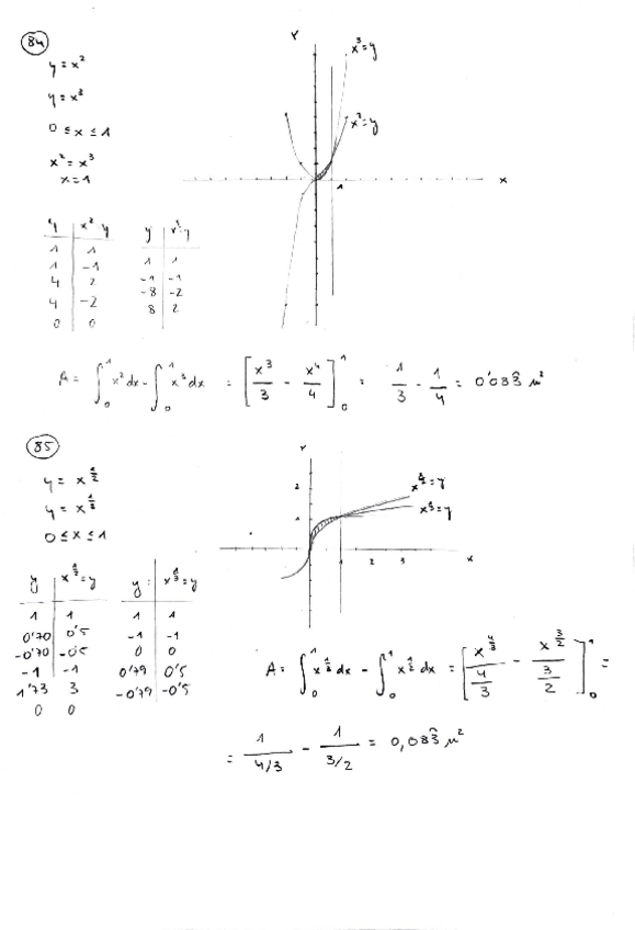
Prácticas - INTEGRALES-84-y-85.pdf
12
Apuntes - Problemas-Mat.-II-tema-2.pdf
6 páginas
Ejercicios - mates.pdf
8 páginas