Class_Meriwede
Integrales
Bachillerato de Ciencias y Tecnología
metodosintegracion2.pdf
43 páginas
integralesprimitivas.pdf
9 páginas
Metodos-de-integracion.pdf
14 páginas
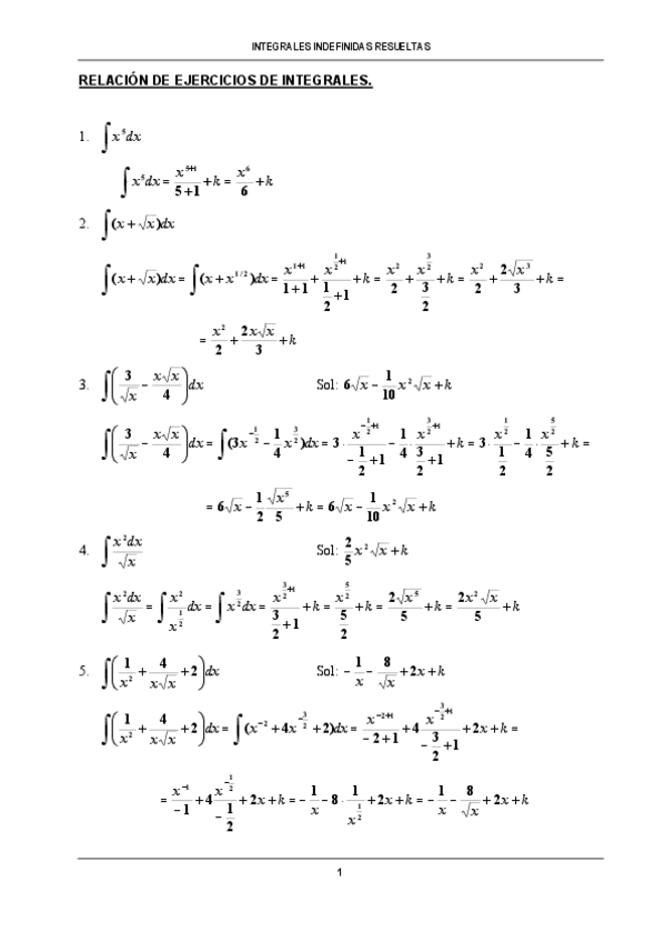
Integrales-indefinidas-resueltas.pdf
32 páginas
apuntesintegrales.pdf
136 páginas
Apuntes - Bloque-1-Analisis.pdf
pdf
24 páginas
5
0
Apuntes - dominio-y-recorrido-de-una-funcic3b3n.pdf
13 páginas
10
Apuntes - Analisis-chuletario-resumen.pdf
6 páginas
3
Apuntes - Bloque-3-geometria-con-ejercicios-1.pdf
11 páginas
4
Apuntes - ejercicioscalculodominios.pdf
5 páginas
6
Apuntes - 1BCS-Teoria-6-Limites.pdf
7
Apuntes - Esquema-Matrices.pdf
2 páginas
2
1
Apuntes - Bloque-2-Matrices-y-determinantes..pdf
4 páginas
Apuntes - Bloque-3-geometria-con-ejercicios-2.pdf
12 páginas
Apuntes - Derivadas.pdf
18 páginas
Apuntes - Metodos-de-integracion.pdf
Apuntes - metodosintegracion2.pdf
Apuntes - limitescontinuidadderivabilidad.pdf
42 páginas
Apuntes - apuntesintegrales.pdf
Apuntes - Integrales-indefinidas-resueltas.pdf
Apuntes - integralesprimitivas.pdf
Apuntes - 2.pdf