Matematicas-II-2oBachi-Matrices.pdf

elena_cm07

Matemáticas II 2ºBachiller y Pau

7 archivos·

Estos son los apuntes que hice y utilice para sacar mención especial en matemáticas II. Están enfocados a la PAU 2025, la cual hice en junio y me permitió entrar al doble grado de matemáticas y física y aún los sigo mirando de vez en cuando para refrescar

Matematicas-II-2oBachi-Integrales.pdf

4 páginas

Matematicas-II-2oBachi-Funciones.pdf

2 páginas

Matematicas-II-2oBachi-Matrices.pdf

4 páginas

Matematicas-II-2oBachi-VectEcuRecyPlano.pdf

9 páginas

Matematicas-II-2oBachi-ReglasDerivacion.pdf

2 páginas

Matematicas-II-2oBachi-Probabilidad.pdf

4 páginas

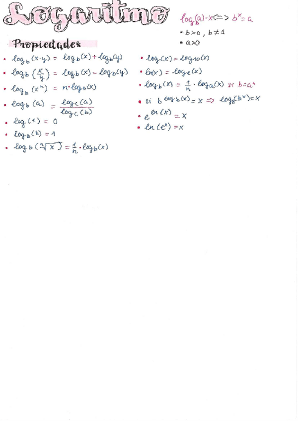
Matematicas-II-2oBachi-Logaritmos.pdf

1 página

content_copy

Archivos recomendados