MATES-EXAMEN-1-Limites-derivadas-cont.pdf

sergiouson

MATEMÁTICAS II

8 archivos·

MATES-EXAMEN-1-Limites-derivadas-cont.pdf

4 páginas

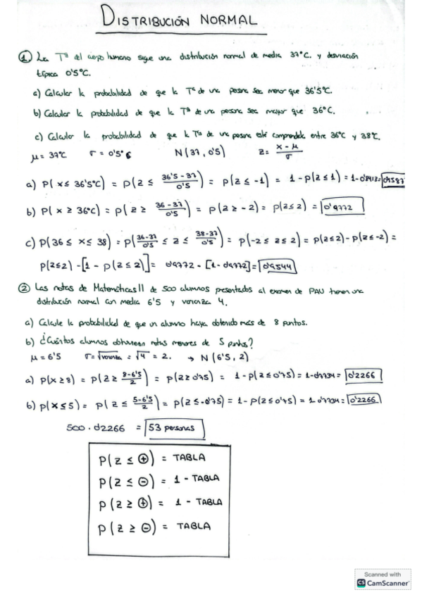
Distribucion-Normal.pdf

2 páginas

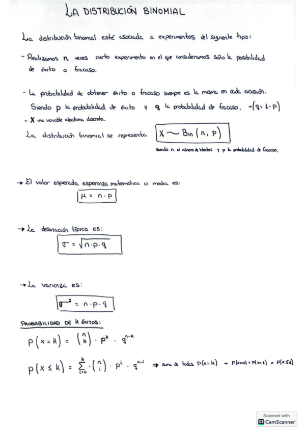
Distribucion-binomial.pdf

1 página

Probabilidad.pdf

8 páginas

Geometria.pdf

12 páginas

Sistemas.pdf

11 páginas

Matrices-y-Determinantes.pdf

15 páginas

Tema-Integrales.pdf

12 páginas

content_copy

Archivos recomendados