1. Ecuaciones diferenciales de primer orden.pdf

JorgeAnderez

Problemas Resueltos de Ecuaciones Diferenciales

7 archivos·

1. Ecuaciones diferenciales de primer orden.pdf

6 páginas

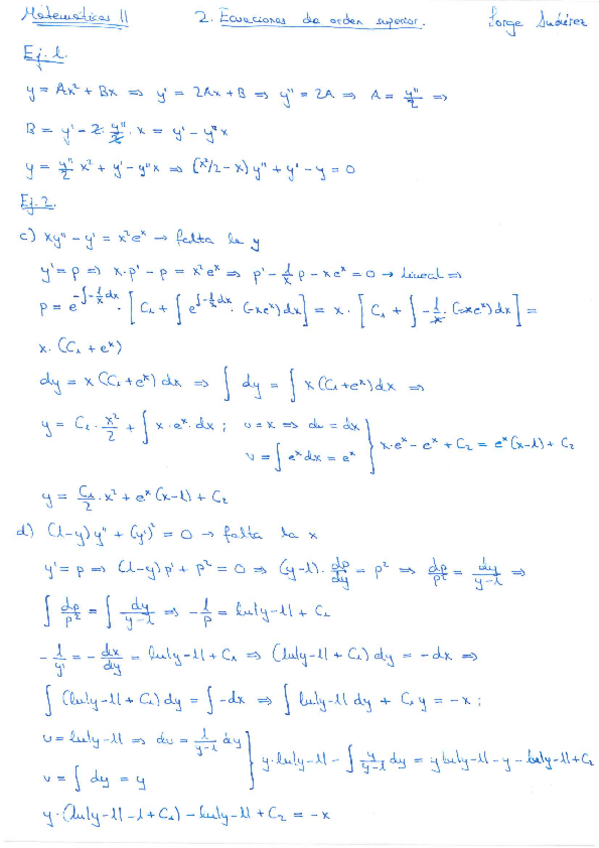
2. Ecuaciones diferenciales de orden superior.pdf

8 páginas

3. Sistemas de ecuaciones diferenciales.pdf

4 páginas

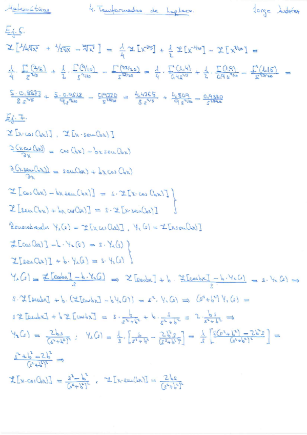
4. Transformada de Laplace.pdf

16 páginas

5. Resolución analítica de EDOs.pdf

10 páginas

6. Primeras ecuaciones en derivadas parciales (EDPs).pdf

6 páginas

7. EDPs de segundo orden sin función fuente.pdf

6 páginas

content_copy

Archivos recomendados