Portada
Asignatura
La Salle-Fundación Moreno Bachiller - Bachillerato
Matemáticas II
Fecha de subida
29 may 2023
Categoría
apuntes
Etiquetas
Apuntes - Determinantes y matrices.pdf
pdf
3 páginas
155
13
Apuntes - Matrices.pdf
2 páginas
126
12
Apuntes - Geometria-Guia.pdf
5 páginas
88
11
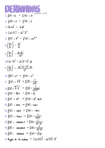
Apuntes - Derivadas-Y-Aplicaciones.pdf
7 páginas
86
10
Apuntes - Integrales-Y-Calculo-De-Areas.pdf
6 páginas
71
Apuntes - Sistemas-De-Ecuaciones.pdf
62
6
Apuntes - Limites-y-continuidad.pdf
60
4
Apuntes - Lista-Integrales.pdf
1 página
43
Apuntes - Lista-Derivadas.pdf
34
2
15 páginas
29
Apuntes - tema-1-limites-y-continuidades.pdf
23 páginas
20
1
Apuntes - INTEGRALES.pdf
14 páginas
0
Apuntes - geometria.pdf
12 páginas
15
Apuntes - sistemas-de-ecuaciones-Lineales.pdf
Apuntes - calculo-de-areas.pdf
Apuntes - tema-2-derivadas.pdf
55 páginas