user_1758605
Tema 1
Truco-graficas-polares.pdf
2 páginas
ejercicio-5-seccion-2.pdf
ejercicio-8-seccion-2.pdf
4 páginas
curvas-en-parametricas.pdf
3 páginas
ejercicio-6-seccion-2.pdf
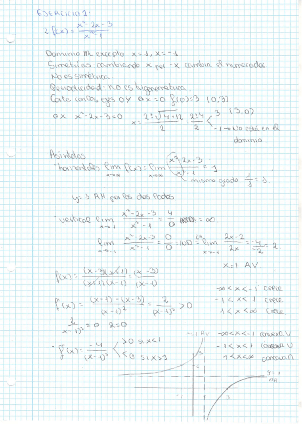
Grafica-de-una-funcion-ejercicios.pdf
ejercicio-1-y-7.pdf
ejercicios-coordenadas-polares.pdf
Apuntes - Metodos-integrales.pdf
pdf
47
0
Apuntes - Integrales-indefinidas.pdf
25 páginas
28
Apuntes - TIPOS-EDO.pdf
24
Trabajos - Trabajo-campo-de-rugby.-Julia-Benito-Jabalera.pdf
7 páginas
7
1
Apuntes - Apuntes-tema-2-mates.pdf
8 páginas
4
Apuntes - Escaner20210723-6.pdf
1 página
2
Apuntes - ejercicio-5-seccion-2.pdf
3
Apuntes - Truco-graficas-polares.pdf
Apuntes - Escaner20210723-8.pdf
Apuntes - T5-CURVAS.pdf
10 páginas
Apuntes - T4-APLICACIONES-DE-INTEGRAL.pdf
12 páginas
Apuntes - T3-ECUACIONES-DIFERENCIALES-PRIMER-ORDEN.pdf
11 páginas
Apuntes - T2-POLINOMIOS-DE-TAYLOR.pdf
Apuntes - T1-FUNCIONES-Y-GRAFICAS.pdf
Apuntes - ejercicios-coordenadas-polares.pdf
Apuntes - ejercicio-1-y-7.pdf
Apuntes - Grafica-de-una-funcion-ejercicios.pdf
Apuntes - ejercicio-6-seccion-2.pdf
Apuntes - curvas-en-parametricas.pdf
Apuntes - ejercicio-8-seccion-2.pdf